سازمان برنامهوبودجه کشور
جمهوري اسلامی ایران
راهنماي تهیه گزارشهای فنی و مالی و نحوه
ارجاع کار در پروژههای مشارکتی در بخش
آب و فاضلاب
نشریه شماره 763
معاونت فنی، امور زیربنایی و تولیدی - وزارت نیرو
امور نظام فنی و اجرایی - دفتر استانداردها و طرحهای آب و آبفا
nezamfanni.ir - http://seso.moe.gov.ir
1397
اصلاح مدارك فنی
خواننده گرامی:
امور نظام فنی و اجرایی معاونت فنی، امور زیربنایی و تولیدي سازمان برنامهوبودجه کشور، با استفاده ازنظر کارشناسان برجسته مبادرت به تهیه این نشریه کرده و آن را براي استفاده به جامعهی مهندسی کشور عرضه نموده است. باوجود تلاش فراوان، این اثر مصون از ایرادهایی نظیر غلطهای مفهومی، فنی، ابهام، ایهام و اشکالات موضوعی نیست.
ازاینرو، از شما خوانندهی گرامی صمیمانه تقاضا دارد در صورت مشاهده هرگونه ایراد و اشکال فنی، مراتب را بهصورت زیر گزارش فرمایید:
1- در سامانه مدیریت دانش اسناد فنی و اجرایی (سما) ثبتنام فرمایید sama.nezamfanni.ir
2- پس از ورود به سامانه سما و براي تماس احتمالی، نشانی خود را در بخش پروفایل کاربري تکمیل فرمایید.
3- به بخش نظرخواهی این نشریه مراجعه فرمایید.
4- شماره بند و صفحه موضوع موردنظر را مشخص کنید.
5- ایراد موردنظر را بهصورت خلاصه بیان دارید.
6- در صورت امکان متن اصلاحشده را براي جایگزینی ارسال کنید.
کارشناسان این امور نظرهاي دریافتی را بهدقت مطالعه نموده و اقدام مقتضی را معمول خواهند داشت.
پیشاپیش از همکاري و دقت نظر جنابعالی قدردانی میشود.
نشانی براي مکاتبه: تهران، میدان بهارستان، خیابان صفی علی شاه -مرکز تلفن33271
سازمان برنامهوبودجه کشور، امور نظام فنی و اجرایی
Email: nezamfanni @mporg.ir web: nezamfanni.ir
باسمهتعالی
پیشگفتار
بهمنظور ایجاد وحدت رویه در فرآیند ارجاع کار در قراردادهاي سرمایهگذاری با مشارکت بخش غیردولتی بر آن شدیم تا با توجه به تجربیات موفق کسب شده در پروژههای BOO, BOT, ROT و بیع متقابل، تهیه «راهنمای تهیه گزارشهای فنی و مالی و نحوه ارجاع کار در پروژههای مشارکتی در بخش آب و فاضلاب را دستور کار خود قرار دهیم.
با توجه به اهمیت مبحث فوقالذکر، امور آب وزارت نیرو در قالب طرح تهیه ضوابط و معیارهاي فنی صنعت آب راهنماي تهیه گزارشهای فنی و مالی و نحوه ارجاع کار در پروژههای مشارکتی در بخش آب " کشور، تهیه دستورالعمل را با هماهنگی امور نظام فنی و اجرایی سازمان برنامهوبودجه کشور در دستور کار قرار داد و پس از تهیه، " و فاضلاب آن را براي تائید و ابلاغ به عوامل ذینفع نظام فنی و اجرایی کشور به این معاونت ارسال نمود که پس از بررسی، بر اساس نظام فنی اجرایی یکپارچه، موضوع ماده 34 قانون احکام دائمی برنامههای توسعه کشور، ماده 23 قانون برنامهوبودجه و آییننامه استانداردهاي اجرایی مصوب هیات محترم وزیران تصویب و ابلاغ گردید.
علیرغم تلاش، دقت و وقت زیادي که براي تهیه این مجموعه صرف گردید، این مجموعه مصون از وجود اشکال و ابهام در مطالب آن نیست. لذا در راستاي تکمیل و پربار شدن این نشریه از کارشناسان محترم درخواست میشود موارد اصلاحی را به امور نظام فنی و اجرایی سازمان برنامهوبودجه کشور ارسال کنند. کارشناسان سازمان پیشنهادهاي دریافت شده را بررسی کرده و در صورت نیاز به اصلاح در متن نشریه، با همفکري نمایندگان جامعه فنی کشور و کارشناسان مجرب این حوزه، نسبت به تهیه متن اصلاحی، اقدام و از طریق پایگاه اطلاعرسانی نظام فنی و اجرایی کشور براي بهرهبرداری عموم، اعلام خواهند کرد. به همین منظور و براي تسهیل در پیدا کردن آخرین ضوابط ابلاغی معتبر، در بالاي صفحات، تاریخ تدوین مطالب آن صفحه درجشده است که در صورت هرگونه تغییر در مطالب هر یک از صفحات، تاریخ آن نیز اصلاح خواهد شد. ازاینرو همواره مطالب صفحات داراي تاریخ جدیدتر معتبر خواهد بود.
بدینوسیله معاونت فنی، امور زیربنایی و تولیدي از تلاشها و جدیت رئیس امور نظام فنی و اجرایی کشور جناب آقاي مهندس غلامحسین حمزه مصطفوي و کارشناسان محترم امور نظام فنی و اجرایی، نماینده مجري محترم طرح تهیه ضوابط و معیارهاي فنی صنعت آب کشور وزارت نیرو، جناب آقاي مهندس تقی عبادي، مدیرکل محترم دفتر تجهیز منابع مالی و توسعه مشارکت شرکت مهندسی آب و فاضلاب کشور جناب آقاي مهندس کشفی و متخصصان همکار در امر تهیه و نهایی نمودن این نشریه، تشکر و قدردانی مینماید.
حمیدرضا عدل
معاون فنی، امور زیربنایی و تولیدي
بهار 1379
تهیه و کنترل "راهنماي تهیه گزارشهای فنی و مالی و نحوه ارجاع کار در پروژههای مشارکتی در بخش آب و فاضلاب (نشریه شماره 763)
اعضاي گروه تهیهکننده:
ملیحه اسکندري
مجید امین
شهابالدین بختیار
مهدي جوادي
داود حبیباللهی
غزاله خوشرو
مجید رضایی
مریم زرنگ
مالک شمسی
سید علی طباطبایی
رامین علیپور
علیرضا قدیمی
سید حمیدرضا کشفی
فریبا گلریزان
مجید محمود زاده
اعضاي گروه نظارت:
سید حمیدرضا کشفی
جواد حاجیانی بوشهري
اعضاي گروه هدایت و راهبري (سازمان برنامهوبودجه کشور(:
علیرضا توتونچی معاون امور نظام فنی و اجرایی
مقدمه
در سالیان اخیر سیاست دولت کاهش تصدیگری در امور اجرایی و واگذاري این امور به بخش خصوصی بوده است.
در این راستا وزارت نیرو و شرکت مهندسی آب و فاضلاب کشور از پیشگامان جذب منابع مالی موردنیاز پروژههای آب و فاضلاب در قالب انعقاد قرارداد با بخش غیردولتی میباشند. ازجمله روشهای مشارکت بخش غیردولتی که در این بخش مورداستفاده قرار میگیرد میتوان ساخت، بهرهبرداری، انتقال (BOT)؛ ساخت مالکیت، بهرهبرداری (BOO) بازسازي، بهرهبرداری، انتقال؛ (ROT)؛ و بیع متقابل (BUYBACK) اشاره نمود.
به استناد دستورالعمل ماده (20) قانون الحاق برخی مواد به قانون تنظیم بخشی از مقررات مالی دولت (2) ابلاغی شوراي اقتصاد به شماره 1810378 مورخ 96/12/28 به وزارت نیرو و شرکتهای زیرمجموعه اجازه دادهشده است، نسبت به خرید تضمینی آب و پساب تصفیهشده، آب مازاد ناشی از صرفهجویی حقابه داران و پروژههای انتقال آب از سرمایهگذاران بخش غیردولتی اقدام نمایند. همچنین به استناد ماده (37) قانون برنامه پنجساله ششم توسعه دولت مکلف گردیده است تمهیدات لازم را با استفاده از انواع روشها ازجمله سازوکارهاي استفاده از سرمایهگذاری بخش خصوصی داخلی و خارجی و سازمانهای بینالمللی در ازاي واگذاري پساب استحصالی و استفاده از منابع حاصل از فروش پساب فاضلاب جهت توسعه و تکمیل طرحهای فاضلاب شهري تا پایان اجراي قانون برنامه، علاوه بر وضع موجود جهت افزایش حداقل بیستوپنج (25) درصد پوشش شبکه فاضلاب شهري کشور را فراهم نماید.
نشریه حاضر بهمنظور ایجاد وحدت رویه با محوریت شفافیت و یکسانسازی فرآیندهاي اولویتبندی پروژهها، نحوه و فرآیند ارجاع کار و واگذاري و مبادله قرارداد با سرمایهگذاران پرداختهشده و جامعه هدف آن سرمایهگذاران، مشاوران و دستگاههای اجرایی زیرمجموعه وزارت نیرو میباشد.
این نشریه شامل چهارفصل است. در فصل اول با عنوان «چهارچوب گزارش توجیهی فنی -مالی در پروژههای BOO/BOT/ROT» چکیدهای از اطلاعات بهروز شده پروژه به همراه جداول، نمودارها و سؤالهایی در خصوص مباحث فنی و مالی پروژه درج گردیده که با تکمیل آنها امکان تصمیمگیری بهمنظور واگذاري یک پروژههای آب و فاضلاب تسهیل میگردد.
در فصل دوم با عنوان «چهارچوب گزارش توجیهی فنی -مالی اجراي طرحهای فاضلاب به روش بیع متقابل» چکیدهای از اطلاعات فنی و مالی پروژه به همراه جداول، نمودارها درجشده که با تکمیل آنها امکان تصمیمگیری در خصوص واگذاري امتیاز برداشت پساب به سرمایهگذار در یک مدتزمان مشخص تسهیل میگردد.
در فصل سوم با عنوان «راهنماي تهیه گزارش توجیهی مالی در پروژههای BOO/BOT/ROT» بهعنوان راهنمایی براي تکمیل جداول، نمودارها و سؤالهای مالی فصلهای یکم و دوم میباشد. کاربرد این فصل ارائه مراجع قانونی و مستندات موردنیاز و نحوه محاسبات مالی با در نظر گرفتن شرایط و نوع پروژهها بهمنظور ایجاد شفافیت و یکسانسازی روشهای تخمین و محاسبات مالی پروژههای مذکور میباشد
در فصل چهارم با عنوان «دستورالعمل شرکت در مناقصه قراردادهاي سرمایهگذاری با مشارکت بخش غیردولتی به روش BOO/BOT/ROT» به مباحثی نظیر نحوه تهیه پیشنهاد توسط مناقصه گران، مدارك تشکیلدهنده پیشنهاد نحوه تسلیم پیشنهادها، مهلت تسلیم پیشنهادها، چگونگی گشایش و ارزیابی پیشنهادها، واگذاري و مبادله قرارداد پرداختهشده است.
1 فصل 1
چهارچوب گزارش توجیهی فنی- مالی در پروژههای BOO / BOT / ROT
1-1- گزارش توجیهی احداث / نوسازي و تکمیل پروژه
به روش BOO/BOT/ROT .................................. شهر/ مجمتع روستایی .....................................
1-1-1- سابقه پروژه
– تاریخ و شماره مجوز دفتر تجهیز منابع مالی و توسعه مشارکت شرکت مهندسی آب و فاضلاب کشور
– تاریخ تهیه گزارش توجیهی پروژه
– عنوان دستگاه اجرایی
– موضوع پروژه
– مهندس مشاور تهیهکننده گزارش توجیهی پروژه
– تاریخ تهیه گزارش توجیهی پروژه
– مهندس مشاور مطالعات مرحله اول پروژه
– تاریخ و شماره مصوبه مطالعات مرحله اول از دفتر مطالعات و بررسیهای فنی شرکت مهندسی آب و فاضلاب کشور
– مهندس مشاور مطالعات مرحله دوم (در صورت وجود(
– شماره و تاریخ مصوبه مطالعات مرحله دوم از دفتر مطالعات و بررسیهای فنی شرکت مهندسی آب و فاضلاب
کشور (در صورت وجود(
– شماره و تاریخ مجوز تخصیص آب از دستگاه ذیربط (با ذکر عنوان دستگاه(
– شماره و تاریخ مجوز سازمان محیطزیست
– وضعیت تملک اراضی موردنیاز پروژه:
2-1-1- وضعیت موجود و ضرورت اجراي پروژه
3-1-1- مبانی و مفروضات و اطلاعاتپایهای پروژه
– سال مبناي پروژه[1] بر اساس وضعیت موجود: .....................................
– سال شروع عملیات اجرایی پروژه: ....................................
– مدتزمان پیشبینیشده براي احداث پروژه: ............. ماه
– جمعیت تحت پوشش، مصرف سرانه، ضرایب مصرف و نیاز آبی:

1- بر اساس آخرین اطلاعات و بررسیهای بروز شده سرمایه پذیر یا مشاور طرح
2- د ر خصوص طرحهای فاضلاب، سرانه فاضلاب به همراه سرانه نشتاب و رواناب نیز به جدول فوق اضافه میگردد.
– سیماي پروژه ) از محل تأمین تا محل مصرف(
–نقشه موقعیت پروژه (شامل تأسیسات موجود و طرح پیشنهادی به روش BOO/BOT/ROT)
– ظرفیت تأسیسات در بخشهای مختلف همراه با پیشبینی توسعههای آتی مصوب براي تأسیسات آب یا فاضلاب باید به شرح جدول ذیل ارائه شود:

4-1-1- مشخصات اجزای مختلف پروژه و تعیین بخشهایی که امکان اجرای آن به روش BOO,BOT,ROT فراهم میباشد
[دستگاه اجرایی با توجه به پروژه درخواستی اطلاعات مربوطه را تکمیل مینماید]
1-4-1-1- در پروژههای آبرسانی
– محل تأمین آب (سد/آبگیر/چاه):: ............................ و فاصله تا محل مصرف ...................... کیلومتر

– اگر احداث این تأسیسات میتواند جزء حدود کار سرمایهگذار قرار گیرد، شرایط آن توضیح داده شود.
– اگر این تأسیسات در حال اجرا میباشد (از محل اعتبارات...................)، مشخصات و شرایط آن توضیح داده شود (ازجمله درصد پیشرفت و برنامهریزی صورت گرفته(.
– اگر تأسیسات تأمین آب موجود میباشد و ملاحظات فنی - اجرایی جهت بهرهبرداری از آنها وجود دارد، شرایط آن اعلام گردد.
– مشخصات فیزیکی، شیمیایی و بیولوژیکی آب تأمینشده اعلام شود.
- مشخصات تأسیسات انتقال آب (خام/شرب(
* ثقلی/ تحتفشار قطر خطر: mm ..................، طول خط: KM ................، تعداد ایستگاه پمپاژ: ......................... واحد و حجم مخازن: .............................. مترمکعب
اگر احداث این تأسیسات میتواند جز حدود کار سرمایهگذار باشد، مشخصات و شرایط آن توضیح داده شود:

- اگر این تأسیسات در حال احداث میباشند (از محل اعتبارات ........................)، مشخصات و شرایط آن توضیح داده شود. (ازجمله درصد پیشرفت و برنامهریزی صورت گرفته، ظرفیت و مشخصات اجزای مختلف)
- اگر این تأسیسات موجود میباشند و شرایط و ملاحظات فنی و اجرایی در بهرهبرداری از آنها وجود دارد، اعلام شود.
- مشخصات تأسیسات تصفیه آب:
نوع فرآیند: ..........، ظرفیت ..................... مترمکعب در شبانهروز و فاصله تا محل مصرف: KM ..................
اگر احداث این تأسیسات میتواند جز حدود کار سرمایهگذار باشد، مشخصات و شرایط آن توضیح داده شود:

-اگر ملاحظاتی در خصوص محل تصفیه آب / فرآیند تصفیه / مشخصات آب/ شرایط تملک زمین/ تامین برق و ... وجود دارد، اشاره شود.
-اگر این تاسیسات در حال احداث میباشند (از محل اعتبارات ..........)، مشخصات و شرایط آن توضیح داده شود. (از جمله درصد پیشرفت و برنامهریزی صورت گرفته، ظرفیت و مشخصات اجزای مختلف)
-اگر این تاسیسات موجود میباشند و شرایط و ملاحظات فنی و اجرایی در بهرهبرداری از آنها وجود دارد اعلام شود.
-مشخصات تأسیسات ذخیره و انتقال آب تصفیهشده (ثقلی/ تحتفشار/ تعداد و ظرفیت ایستگاههای پمپاژ/ تعداد و حجم مخازن/ قطر و مشخصات خط/ تأسیسات کنترلی):
اگر احداث این تأسیسات میتواند جز حدود کار سرمایهگذار باشد، مشخصات و شرایط آن توضیح داده میشود:

-اگر این تأسیسات در حال احداث میباشند (از محل اعتبارات ........................)، مشخصات و شرایط آن توضیح داده شود. (ازجمله درصد پیشرفت و برنامهریزی صورت گرفته، ظرفیت و مشخصات اجزای مختلف)
-اگر این تأسیسات موجود میباشند و شرایط و ملاحظات فنی و اجرایی در بهرهبرداری از آنها وجود دارد، اعلام شود.
-مشخصات تأسیسات توزیع آب (طول، قطر، زونهای فشاری، تجهیزات کنترلی، مخازن ذخیره و...):
اگر احداث این تأسیسات میتواند جز حدود کار سرمایهگذار باشد، مشخصات و شرایط آن توضیح داده شود:

-اگر این تأسیسات در حال احداث میباشند (از محل اعتبارات ...................)، مشخصات و شرایط آن توضیح داده شود. (ازجمله درصد پیشرفت و برنامهریزی صورت گرفته، ظرفیت و مشخصات اجزای مختلف)
-اگر این تأسیسات موجود میباشند و شرایط و ملاحظات فنی و اجرایی در بهرهبرداری از آنها وجود دارد اعلام شود.
-آیا امکان احداث تأسیساتی در پروژه وجود دارد که موجب درآمدزایی یا کاهش قیمت تمامشده برای سرمایهگذار گردد؟
-آیا امکان ارائه مجوز فروش بخشی از آب انتقالی/ آب تصفیهشده یا حق امتیاز خاصی به سرمایهگذار وجود دارد؟ (ازجمله نیروگاه، تولید برق و تأمین آب صنایع)
-جمعبندی
سناریوی مختلف پیشنهادی مشاور و انتخاب روش BOO/BOT/ROT
سناریوی انتقال آب خام
-سناریوی تصفیه آب
-سناریوی انتقال آب تصفیهشده
-سناریوی توزیع آب
2-4-1-1- در پروژههای جمعآوری و تصفیه فاضلاب:
-مشخصات تأسیسات جمعآوری و انتقال فاضلاب (طول، قطر، جنس، تعداد انشعابات و …)
- اگر احداث این تأسیسات میتواند جز حدود کار سرمایهگذار باشد، مشخصات و شرایط آن توضیح داده شود:

- اگر این تأسیسات در حال احداث میباشند (از محل اعتبارات .....................)، مشخصات و شرایط آن توضیح داده شود. (ازجمله درصد پیشرفت و برنامهریزی صورت گرفته، ظرفیت و مشخصات اجزای مختلف)
- اگر این تأسیسات موجود میباشند و ملاحظات فنی و اجرایی در بهرهبرداری از آنها وجود دارد اعلام شود (میزان فاضلاب موجود، تعداد انشعابات نصبشده، برنامهریزیهای مربوط به توسعه آتی و ....)

- مشخصات تأسیسات تصفیه فاضلاب (وضعیت موجود، نوع فرایند، کیفیت پساب خروجی و ….)
- وضعیت تأسیسات تصفیه موجود (ظرفیت/ نوع فرایند/ مشکلات/ پتانسیلها)
- اگر احداث یا ارتقاي این تأسیسات میتواند جز حدود کار سرمایهگذار باشد، مشخصات و شرایط آن توضیح داده شود (شماره و تاریخ مجوز ضرورت ارتقاي تصفیهخانه دریافتی از معاونت بهرهبرداری شرکت مهندسی آب و فاضلاب کشور: ........................................)

- فرآیند تصفیه
- تعداد مدول
- تعداد خط جریان در هر مدول
- میزان برق مصرفی
- کیفیت پساب خروجی
- منبع پذیرنده پساب
- آیا جهت انتقال پساب خروجی تصفیهخانه تا منبع پذیرنده نیاز به تأسیسات خاصی است؟ توضیح داده شود.
- آیا الزامات فنی و اجرایی و پروژه بر اساس مصوبه دفتر مطالعات و بررسیهای فنی شرکت مهندسی آب فاضلاب کشور لحاظ شده است؟ توضیح داده شود.
- آیا الزامات زیستمحیطی پروژه بر اساس قوانین و مقررات سازمان حفاظت از محیطزیست لحاظ شده است؟ توضیح داده شود.
- آیا برنامهریزی اجرایی در خصوص تکمیل خطوط جمعآوری و انتقال فاضلاب در سالهای آتی، میزان فاضلاب پیشبینیشده در جدول فوق را پوشش میدهد؟(این برنامهریزی باید با شرایط واقعی همخوانی داشته باشد(
- اگر ملاحظاتی در خصوص محل تصفیهخانه / فرآیند تصفیه / مشخصات پساب / مشخصات فاضلاب ورودي/ شرایط تملک زمین / تأمین برق / شرایط استفاده از پساب و... وجود دارد اشاره شود.
-مشخصات تأسیسات انتقال پساب) ثقلی / تحتفشار/ تعداد و ظرفیت ایستگاههای پمپاژ / تعداد و حجم مخازن /قطر و مشخصات خط/ تأسیسات کنترلی(
- اگر احداث این تاسیسات میتواند جز حدود کار سرمایهگذار باشد، مشخصات و شرایط آن توضیح داده شود:

- اگر این تأسیسات در حال احداث میباشند (از محل اعتبارات ...............................)، مشخصات و شرایط آن توضیح داده شود (ازجمله درصد پیشرفت و برنامهریزی صورت گرفته، ظرفیت و مشخصات اجزای مختلف)
- اگر این تأسیسات موجود میباشند و شرایط و ملاحظات فنی و اجرایی در بهرهبرداری از آنها وجود دارد اعلام شود.
- جمعبندی سناریوی های مختلف پیشنهادی مشاور و انتخاب روش BOO/BOT/ROT
- سناریوهاي شبکه جمعآوری و انتقال فاضلاب
- سناریوهاي تصفیه فاضلاب
- سناریوهاي انتقال پساب
5-1-1- حدود کار تعریفشده براي سرمایهگذار
– احداث/ارتقاي تأسیسات) در صورت نیاز در سناریوهاي مختلف(
– تأمین زمین موردنیاز پروژه
– تأمین برق/انرژي موردنیاز در دوره ساخت و بهرهبرداری
– احداث جادههای دسترسی
– تأمین آب خام/فاضلاب
– طول دوره احداث) اگر مرحلهبندی اجرایی مدنظر است اعلام گردد(
– طول دوره پیشنهادي بهرهبرداری، نگهداري و راهبري پروژه
– سایر موارد
6-1-1- تعهداتی که براي سرمایه پذیر پیشبینیشده است
– تأمین زمین و امکان دسترسی به سایت
– تأمین آب خام/ فاضلاب
– تأمین برق در دوره بهرهبرداری (هزینه برق مصرفی با سرمایهگذار است(
– خرید آب / پساب در طول دوره بهرهبرداری تجاري
– سایر موارد
7-1-1- میزان آب / پساب قابلبرنامهریزی جهت استفاده از اعتبارات خرید تضمینی
- (بهصورت سالیانه تا سال افق پروژه بر اساس نیاز آبی مصوب ارائه شود و سپس با توجه به شرایط اجرایی و حقوقی قراردادهاي خرید تضمینی و ظرفیتهای ایجادشده در تأسیسات، پیشنهاد ظرفیتهای تضمینشده خرید آب /پساب سالیانه داده شود(
8-1-1- محلهای تحویل و مشخصات آب خام/فاضلاب و آب شرب /پساب در پروژه
9-1-1- برآورد هزینههای سرمایهگذاری اولیه پروژه (در سناریوهای مختلف(
1-9-1-1- برآورد هزینههای بروز شده سرمایهگذاری اولیه
توضیح: این هزینهها باید براي سال تهیه گزارش و شرایط و نوع قرارداد بهروزرسانی شده باشند و به تفکیک اجزاي مختلف پروژه و حداقل در بخشهای خرید و اجرا بهصورت مجزا ارائه شوند.
10-1-1- برآورد هزینههای بازسازي و نوسازي اساسی (Overhaul )
توضیح: هزینههای بازسازي و نوسازي اساسی، میبایست در قالب جدول ذیل و بر اساس عمر مفید تجهیزات در سالهای موردنیاز آورده شود. در
برآورد زمان اعمال اورهال باید ضوابط و قوانین موجود در خصوص استهلاك تأسیسات مدنظر قرار گیرد و نحوه محاسبه و تعیین ضریب تعدیل سالیانه باید مشخص گردد.

11-1-1- هزینه استهلاك و ارزش اسقاط
هزینه استهلاك و ارزش اسقاط که محاسبات آنها مطابق با مفاد مندرج دربندهاي 3-10 و 3-11 فصل سوم این نشریه انجامشده به شرح ذیل ارائه میگردد:
12-1-1- رآورد هزینههای بهرهبرداری و نگهداري سالیانه پروژه
در این بخش باید هزینههای نیروي انسانی، مواد مصرفی، برق مصرفی، تعمیر و نگهداري، مدیریت و راهبري سالیانه پروژه همراه با مبانی برآورد براي سال تهیه گزارش در قالب جداول ذیل ارائه گردد.

13-1-1- شرایط و مبانی مدل مالی
شرایط و مبانی مدل مالی بر اساس مفاد مندرج در فصل سوم این راهنما تهیه و ارائه شود که نتایج آن به شرح زیر است:
1-13-1-1- مفروضات مدل مالی با احتساب تورم
– نرخ تعدیل هزینهها در دوران ساخت:
– نرخ رشد هزینهها در دوران بهرهبرداری تجاري:
– نرخ رشد درآمدها:
– آیا پیشخرید محصول (معادل یک سال اول دوره بهرهبرداری تجاری) در نظر گرفتهشده است؟
2-13-1-1- نتایج مدل مالی
– سهم بخش تعدیلپذیر و تعدیل ناپذیر قیمت محصول بهصورت درصد[2]
– قیمت محصول پروژه (شامل تعدیلپذیر و تعدیل ناپذیر) بهصورت جدول ذیل براي نرخهای مختلف بازده انتظاري و دورههای بهرهبرداری تجاري

–ارائه تحلیل حساسیت براي انتخاب ضریب افزایش هزینهها و کاهش درآمدها
–ارائه تحلیل حساسیت براي تأثیر اعمال شرایط تعدیلپذیری بخشی از قیمت محصول
–ارائه تحلیل حساسیت) مشابه جدول و نمودار ذیل) تأثیر تغییرات هزینههای سرمایهگذاری اولیه و بهرهبرداری در قیمت محصول (شامل تعدیلپذیر و تعدیل ناپذیر)


-ارائه تحلیلهای اقتصادی در سناریوی های مختلف (در پروژههایی که چند گزینه اجرایی برای آنها قابلتصور است)
-ارائه تحلیل حساسیت برای انتخاب دوره بهرهبرداری تجاری
-آیا حدود قیمت برآورده شده برای خرید تضمینی محصول با توجه به قیمت واقعی تمامشده آب در محل قابل توجیه میباشد؟ توضیح داده شود.
3-13-1-1- پیشنهاد مشاور در خصوص دوره بهرهبرداری تجاري، نرخ بازده داخلی و نرخ رشد درآمدها و هزینههای بهرهبرداری با توجه به مفروضات مدل مالی


فصل 2
چهارچوب گزارش توجیهی فنی- مالی اجراي طرحهای فاضلاب به روش بیع متقابل
1-2- بررسی گزارش توجیهی احداث پروژه
به روش بیع متقابل ..................................... شهر/ مجتمع روستایی ...................................................
1-1-2- سابقه پروژه
- تاریخ و شماره مجوز دفتر تجهیز منابع مالی و توسعه مشارکت آبفای کشور
- تاریخ تهیه گزارش توجیهی پروژه
- عنوان دستگاه اجرایی
- موضوع پروژه
- مهندس مشاور تهیهکننده گزارش توجیهی پروِژه
- تاریخ تهیه گزارش توجیهی پروژه
- مهندس مشاور مطالعات مرحله اول پروژه
- تاریخ و شماره مصوبه مطالعات مرحله اول از دفتر مطالعات و بررسیهای فنی شرکت مهندسی آب و فاضلاب کشور
- مهندس مشاور مطالعات مرحله اول پروژه
- شماره و تاریخ مصوبه مطالعات مرحله دوم از دفتر مطالعات و بررسیهای فنی شرکت مهندسی آب و فاضلاب کشور (در صورت وجود)
- شماره و تاریخ مجوز سازمان محیطزیست
- وضعیت تملک اراضی موردنیاز پروژه
2-1-2- وضعیت موجود پروژه
- مشخصات انشعابات آب و فاضلاب

- مشخصات تأسیسات موجود شبکه جمعآوری فاضلاب

- مشخصات تأسیسات موجود خط انتقال فاضلاب

- مشخصات سایر تأسیسات موجود مربوط به انتقال فاضلاب (ثقلی/ تحتفشار/ تعداد و ظرفیت ایستگاههای پمپاژ/ تأسیسات کنترلی)
- وضعیت کمی و کیفی تصفیهخانه فاضلاب موجود

3-1-2- مبانی، مفروضات و اطلاعات پروژه[3]
-سال مبنای[4] پروژه بر اساس وضعیت موجود: .............................................................
-پیشبینی سال شروع عملیات اجرایی پروژه: ..........................................................
-مدتزمان پیشبینیشده برای احداث پروژه: ....................................................... ماه
-جمعیت تحت پوشش

- سیمای پروژه[5]
- نقشه موقعیت پروژه (شامل تأسیسات موجود و طرح پیشنهادی ره روش بیع متقابل)
4-1-2- وضعیت موجود پروژه
{دستگاه اجرایی با توجه به پروژه درخواستی، اطلاعات مربوط به اجزای مختلف طرح که در تعهد سرمایه گذار می باشد را تکمیل می نماید.}
-وضعیت اجرا و نصب انشعابات فاضلاب به صورت سالانه



- میزان برق مصرفی
-استاندارد پساب خروجی [6]
-منبع پذیرنده پساب
-پیشبینی محل مصرف پساب
-آیا جهت انتقال پساب خروجی تصفیهخانه تا منبع پذیرنده نیاز به تأسیسات خاصی است؟
-آیا الزامات فنی، اجرایی و زیستمحیطی پروژه بر اساس مصوبه دفتر مطالعات و بررسیهای فنی شرکت مهندسی آب و فاضلاب کشور لحاظ شده است؟(توضیح داده شود).
-اگر ملاحظاتی در خصوص محل تصفیهخانه/ فرآیند تصفیه/ مشخصات پساب / مشخصات فاضلاب ورودي/ شرایط تملک زمین/ تأمین برق / شرایط استفاده از پساب و ... وجود دارد اشاره شود.
– مشخصات تأسیسات انتقال پساب (ثقلی/ تحتفشار/تعداد و ظرفیت ایستگاههای پمپاژ/ قطر و مشخصات خط/تأسیسات کنترلی(
– سایر تعهدات تعریفشده براي سرمایهگذار
- تأمین زمین موردنیاز پروژه
-تأمین برق / انرژي موردنیاز در دوره ساخت و بهرهبرداری
-احداث جادههای دسترسی
-بازسازي و نوسازي اساسی تأسیسات در طول دوره قرارداد
-سایر موارد
5-1-2-تعهداتی که براي سرمایه پذیر پیشبینیشده است
- تأمین زمین و امکان دسترسی به سایت
- تأمین فاضلاب خام یا پساب
- سایر موارد
6-1-2- محلهای تحویل فاضلاب خام و پساب در پروژه
7-1-2- برآورد هزینههای سرمایهگذاری اولیه پروژه
توضیح: این هزینهها میبایست براي کلیه تأسیسات موجود، در حال ساخت و ساخته نشده در سال مبنا (سال تهیه گزارش) و با توجه به شرایط و نوع قرارداد بهروزرسانی گردیده و به تفکیک اجزاي مختلف پروژه بهصورت مجزا ارائه شوند.
– برآورد هزینههای بروز شده سرمایهگذاری اولیه در سال مبنا (سال تهیه گزارش)، به تفکیک و با اعمال کلیه ضرایب مانند بالاسري

- پیشبینی ضرایب تعدیل سالیانه هزینه در طول دوره احداث و ارائه جدول توزیع زمانی هزینههای تعدیل شده (به تفکیک هزینههای خرید و اجرا) – مبنای تعیین ضریب تعدیل باید اعلام گردد:

8-1-2- برآورد هزینههای بازسازی و نوسازی اساسی (Overhaul) و تأمین شرایط انتقال پروژه
توضیح: هزینههای بازسازی و نوسازی اساسی، میبایست در قالب جدول ذیل و بر اساس عمر مفید تجهیزات در سالهای موردنیاز آورده شود. در برآورد زمان اعمال بازسازی و نوسازی اساسی باید ضوابط و قوانین موجود در خصوصی استهلاک تأسیسات مدنظر قرار گیرد. نحوه محاسبه و تعیین ضریب تعدیل سالیانه باید مشخص گردد:

9-1-2- هزینه استهلاك و ارزش اسقاط
هزینه استهلاک و ارش اقساط که محاسبات آنها مطابق با مفاد مندرج دربندهای 3-10 و 3-11 فصل سوم این نشریه انجامشده به شرح ذیل ارائه میگردد:
10-1-2- برآورد هزینههای بهرهبرداری و نگهداري سالیانه پروژه
در این بخش باید هزینههای نیروي انسانی، مواد مصرفی، برق مصرفی، تعمیر و نگهداري، مدیریت و راهبري سالیانه پروژه همراه با مبانی برآورد براي سال تهیه گزارش در قالب جداول ذیل ارائه گردد.


11-1-2- شرایط و مبانی مدل مالی
1-11-1-2- قیمت تمامشده هر مترمکعب محصول
قیمت تمامشده هر مترمکعب محصول بر اساس هزینههای موردنیاز براي تولید آن اعم از هزینههای انجامشده درگذشته (که میبایست براي سال مبنا بهروزرسانی گردد)، هزینههای فعلی و هزینههای آتی استخراج میشوند. در این راستا ضروري است تا هزینههای مربوط به تملک زمین، نصب انشعابات، احداث شبکههای اصلی و فرعی، احداث تصفیهخانه، بهرهبرداری، بازسازي و نوسازي اساسی و سایر هزینههای چرخه تولید محصول استخراجشده و با توجه به حجم محصول طرح، هزینه تمامشده هر مترمکعب از آن احصا میگردد.
توضیح: قیمت تمامشده هر مترمکعب محصول با استفاده از تکنیکهای اقتصاد مهندسی و با نرخ بهره تنزیل مندرج در نشریه شماره 31231 سازمان مدیریت و برنامهریزی کشور با عنوان " شرح خدمات و روش محاسبه حقالزحمه مطالعات توجیه فنی، اقتصادي- اجتماعی و زیستمحیطی طرحهای فاضلاب شهري " استخراج میگردد.
نحوه تعدیل بهای محصول وفق بند 3-8 فصل سوم این نشریه محاسبه شود.
2-11-1-2-تعداد سالهای واگذاري محصول
با توجه به قیمت تمامشده هر مترمکعب محصول، تعداد سالهای واگذاري مشخص میشوند. نرخ بازده داخلی پروژه بین 18 تا 24
درصد در مدل آورده میشوند.

قیمت تمامشده هر مترمکعب محصول، حداقل قیمت واگذاري میباشد. لذا با توجه به مقادیر مندرج در جدول تعداد سالهای واگذاري محصول و ارزش منطقهای آن، گزینه منتخب مشاور پیشنهاد گردد.

فصل3
راهنماي تهیه گزارش توجیهی مالی در پروژههای BOO/BOT/ROT و بیع متقابل
1-3- چند تعریف کلیدی
– هزینه سرمایهگذاری اولیه: مجموع هزینههای احداث یک پروژه در یک دوره زمانی مشخص
– هزینه بهرهبرداری و نگهداري سالیانه: مجموع هزینههای ثابت و متغیر بهرهبرداری و نگهداري پروژه
– هزینه ثابت بهرهبرداری و نگهداري: آن بخش از اقلام هزینههای بهرهبرداری و نگهداري هستند که به سطح تولید محصول بستگی نداشته و در صورت عدم تولید محصول این هزینهها به قوت خود باقی است.
– هزینه متغیر بهرهبرداری و نگهداري: آن بخش از اقلام هزینههای بهرهبرداری و نگهداري هستند که به سطح تولید محصول بستگی دارد و در صورت افزایش یا کاهش تولید محصول مقدار آن کاهش یا افزایش مییابد.
-هزینه بازسازي و نوسازي اساسی: (Overhaul) به هزینههایی که بر اساس عمر مفید تأسیسات و تجهیزات و جهت حفظ راندمان مطلوب تأسیسات و تجهیزات بر اساس درصدي از مبلغ اولیه سرمایهگذاری اولیه در آن تأسیسات و تجهیزات صورت میگیرد اطلاق میشود (هزینههای نگهداري سالیانه جزو هزینه بازسازي و نوسازي اساسی نمیباشد).
– مدل مالی ثانویه: عبارت است از مدل مالی بدون هزینههای متغیر بهرهبرداری و نگهداري پروژه
2-3- چارچوب مدل مالی
مدل مالی در چارچوب تحلیل هزینه - درآمد برمبناي مفاهیم اقتصاد مهندسی باقیمتهای جاري از دیدگاه سرمایهگذار با اعمال ضرایب تعدیل به هزینهها و درآمدها، پیشخرید محصول، بازپرداخت اصل و سود تسهیلات استهلاك، مالیات بر درآمد تهیه میگردد.
3-3- مبناي تعیین هزینههای سرمایهگذاری اولیه پروژه
–جهت تعیین هزینههای سرمایهگذاری اولیه لازم است حتیالامکان از فهارس بهاي پایه ابلاغی سازمان برنامهوبودجه کشور استفاده گردد) در صورت وجود مطالعات مرحله دوم این موضوع الزامی است و در صورت عدم انجام مطالعات مرحله دوم برآورد هزینههای پروژه بر اساس مطالعات مصوب مرحله اول ملاك عمل قرار گیرد) در این برآوردها ضریب بالاسري با احتساب هزینههای شرکت پروژه، بیمه پروژههای غیر عمرانی، هزینههای پیشبینینشده و بالاسري متعارف کارهاي اجرایی در نظر گرفته شود و ضریبی بابت تغییر مقادیر و احجام کار نسبت به برآورد پایه بسته به نوع پروژه اعمال گردد. در این برآوردها هزینه تملک زمین و نحوه تأمین آن بر اساس شرایط پروژه و نوع قرارداد (BOO/BOT/ROT و بیع متقابل) باید لحاظ گردد.
_ نحوه تعدیل هزینههای سرمایهگذاری (در سال پایه و در دوره ساخت)
مشاور میتواند تعدیل هزینههای سرمایهگذاری را بر اساس محاسبات خود بر مبناي روشهای علمی و یا با استفاده از روش میانگین خطی هزینههای سرمایهگذاری 2 سال اخیر تهیه گزارش مالی بهصورت راس گیري به شرح ذیل انجام نماید:

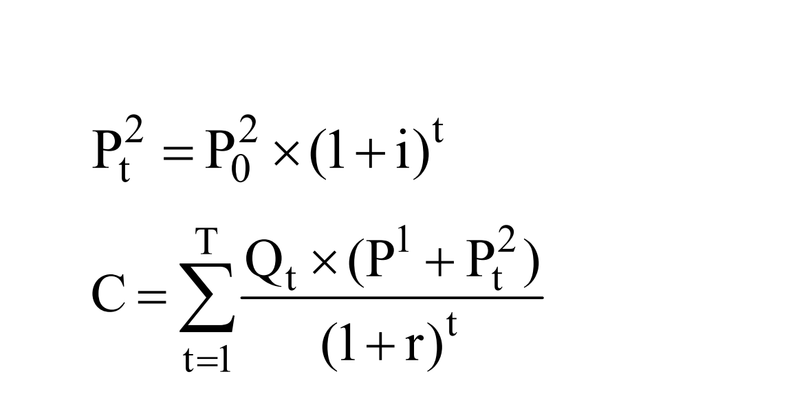
برآورد به هنگام سرمایهگذاری (Po): مبلغ بهروز شده سرمایهگذاری اولیه با لحاظ عوامل مؤثری مانند تغییرات قیمت از زمان برآورد سرمایهگذاری اولیه تا پایان دوران احداث میباشد.
برآورد سرمایهگذاری اولیه (Po): مبلغی است که بر اساس دستورالعملهای مربوطه تهیه میگردد و در مواردی که فهارس بهای پایهای وجود دارد، برآورد طبق فهارش یادشده با اعمال ضرایب بالاسری و منطقهای (مطابق با بخشنامه شماره 94/69416 مورخ 1394/4/30 سازمان برنامهوبودجه) انجام میشود.
محاسبه Β:
Β ضریب به هنگام سازی تا زمان ارائه گزارش مذکور بوده و به شرح زیر محاسبه میشود:

محاسبه لاندا:
لاندا ضریب پیشبینی تغییر قیمت در دوره احداث است، که مقدار آن بر اساس پیشبینی تغییرات قیمت از تاریخ ارائه گزارش مذکور تا تاریخ اتمام دوره احداث موضوع پروژه تعیین میگردد که به شرح زیر محاسبه میشود:

که در آن:
1I: آخرین شاخص تعدیل رشتهای ابلاغشده
I2: شاخص تعدیل رشتهای ابلاغشده یک سال قبل از دوره مربوط به شاخص 1I
I3: شاخص تعدیل رشتهای ابلاغشده دو سال قبل از دوره مربوط به شاخص 1I
4I: شاخص تعدیل رشتهای فهرستبهای مبناي برآورد سرمایهگذاری اولیه
1T: مدتزمان مابین آخرین دورهای که شاخص تعدیل مربوط به آن ابلاغشده تا زمان ارائه گزارش مذکور برحسب سال
2T: برابر است با مدتزمان اعلامشده براي انجام کار (مدت دوره پیشبرد و احداث)، برحسب سال
اگر در برآورد سرمایهگذاری اولیه، از چندین رشته فهرستبها، استفادهشده باشد، برآورد به هنگام سرمایهگذاری اولیه از حاصل جمع برآورد به هنگام هر رشته به دست میآید.
4-3- نحوه برآورد هزینههای بهرهبرداری سالیانه پروژه
هزینههای بهرهبرداری سالیانه در بخشهای زیر باید محاسبه و ارائه شوند:
– هزینه برق مصرفی: بر اساس تعرفههای شرکت برق براي تأسیسات تصفیه آب و فاضلاب / آبشیرینکن /ایستگاههای پمپاژ در سال مبناي پروژه
– هزینههای برق، آب، سوخت مصرفی و مخابرات ) غیرعملیاتی) در برآوردها لحاظ گردد.
– هزینه مواد مصرفی عملیاتی (شیمیایی و سایر اقلام): بر اساس قیمت روز در سال مبناي پروژه و معادل مقادیر مواد مصرفی برآورد گردد.
– هزینه نیروي انسانی: بر اساس ساختار سازمانی نیروي انسانی موردنیاز مطابق بخشنامههای موجود، حقوق مبنا براي پرسنل نیز طبق ضوابط اداره کار با اعمال ضرایب تعدیل مربوطه و در نظر گرفتن قانون کار.
– هزینه تعمیر و نگهداري تأسیسات:
با توجه به لحاظ نمودن هزینههای بازسازی، نوسازی اساسی (Overhaul) در مدل مالی پروژه، هزینههای تعمیر و نگهداری در این بخش فقط مربوط به هزینههای تعمیر، تأمین لوازمیدکی و نگهداری دورهای بوده و باید بر اساس اطلاعات موجود در پروژههای مشابه در حال بهرهبرداری پیشبینی و تعیین گردند (بهتر است از در نظر گرفتن درصدی از هزینههای سرمایهگذاری اجتناب شود).
– هزینههای مدیریت راهبردي و سایر هزینهها:
با توجه به ماهیت قرارداد، هزینهای معادل نیم تا دو درصد مجموع هزینههای بهرهبرداری و نگهداري سالانه بابت هزینههای مدیریت و راهبري (شامل هزینه بیمه سهم کارفرما، بالاسري شرکت پروژه و سایر هزینههای پیشبینیشده) در نظر گرفته شود.
– نحوه تعدیل هزینههای بهرهبرداری و نگهداري:
هزینههای دوران بهرهبرداری شامل هزینههای بهرهبرداری و نگهداری و بازسازی و نوسازی اساسی (Overhaul) بر اساس میانگین نرخ رشد شاخص کالا و خدمات مصرفی (CPI) که توسط بانک مرکزی به آدرس http://www.cbi.irاعلام میگردد، متناسب با دوره بهرهبرداری تجاری سالانه تعدیل میشود.
5-3- هزینههای بازسازي و نوسازي اساسی (Overhaul)
- هزینه بازسازی و نوسازی اساسی تأسیسات بر اساس عمر مفید تجهیزات، تأسیسات و ساختمانها به شرح زیر تعیین میگردد. سال اعمال این هزینهها در مدل مالی نیز در جدول ذیل مشخصشده است.

-نحوه تعدیل هزینههای بازسازی و نوسازی اساسی (Overhaul)
هزینههای بازسازی و نوسازی اساسی محاسبهشده در سال مبنای پروژه، مطابق با بند 4-2 تعدیل و در مدل مالی لحاظ میگردد.
6-3-تعیین میزان محصول پروژه:
بر اساس ظرفیتهای تعریفشده در طرح مصوب براي احداث تأسیسات، میزان آب خام / فاضلاب ورودي قابلاطمینان، راندمان تأسیسات و میزان هدر رفت در طی فرآیند تولید / انتقال باید براي سالهای مختلف برآورد و تعیین گردد.
تبصره: در صورت تولید محصول جانبی[7] برآوردهای مربوطه در مدل مالی لحاظ گردد.
7-3- محاسبه سهم بخش تعدیلپذیر و تعدیل ناپذیر بهاي محصول
در قراردادهای BOO/BOT/ROT تمامی هزینههایی که در دوران احداث پروژه صورت میگیرد (از قبیل آورده سرمایهگذار، بازپرداخت اصل و هزینههای تأمین مالی تسهیلات، پیشخرید محصول و بازپرداخت آن) میبایست جزء بخش تعدیل ناپذیر در بهای محصول لحاظ گردد و تمامی هزینههای که در دوره بهرهبرداری صورت میگیرد (قبیل هزینههای بهرهبرداری، بازسازی و نوسازی اساسی و سرمایهگذاری مجدد) میبایست جزء بخش تعدیلپذیر بهای محصول لحاظ گردد.
تبصره: در حال حاضر در قراردادهاي آبشیرینکن و سایر پروژههای مشابه، با توجه به شرایط استهلاك و بازسازي و نوسازي اساسی پروژه )Overhaul(، کل بهاي محصول مشمول تعدیل میگردد.
الف- مدل مالی براي محاسبه قیمت تعدیل ناپذیر
همانطور که در بخش قیمت محصول اشاره شد، قیمت تعدیل ناپذیر بر اساس هزینههای سرمایهگذاری اولیه با توجه به نحوه تأمین مالی آن بهگونهای محاسبه میشوند که ارزش حال خالص درآمدهاي بخش تعدیل ناپذیر پس از کسر مالیات برابر باارزش حال سرمایهگذاری اولیه و بازپرداخت پیشخرید محصول گردد. مدل مالی زیر فرایند محاسبه قیمت تعدیل ناپذیر را نشان میدهد.

در مدل فوق قیمت تعدیل ناپذیر خرید تضمینی میبایست بهگونهای تعیین گردد که ارزش حال ستون (12) با نرخ سود انتظاري معادل صفر شود.
ب- مدل مالی اصلی براي محاسبه قیمت تعدیلپذیر
همانطور که در بخش قیمت محصول اشاره شد، قیمت تعدیلپذیر بر اساس هزینههای بهرهبرداری و نگهداري، نوسازي و تعمیرات اساسی تعیین میگردد. محاسبه قیمت تعدیلپذیر میبایست بهگونهای باشد که ارزش حال خالص جریان وجوه نقد سرمایهگذار با نرخ سود انتظاري برابر صفر گردد. به عبارتی قیمت تعدیلپذیر پوشش بخشی از هزینههای پروژه که توسط قیمت تعدیل ناپذیر پوشش داده نمیشوند را به عهده دارد. مدل مالی زیر فرایند محاسبه قیمت تعدیلپذیر را نشان میدهد.

در مدل فوق قیمت تعدیل ناپذیر از مدل مالی اولیه جایگزین میشوند و قیمت پایه تعدیلپذیر خرید تضمینی میبایست بهگونهای تعیین گردد که ارزش حال ستون (18) با نرخ سود انتظاري معادل صفر شود. برای محاسبه قیمتهای تعدیلپذیر لازم است تا متوسط رشد سالانه آن بر اساس فرمول AF (با توجه به شاخص CPI، نرخ رشد ارز و ضریب آلفا) تخمین گردد.
8-3- نحوه تعدیل بهاي محصول
بهای بخش تعدیلپذیر محصول بر اساس میانگین نرخ رشد شاخص کالا و خدمات (CPI)[8] که توسط بانک مرکزی به آدرس http://www.cbi.ir اعلام میگردد، متناسب با دوره بهرهبرداری تجاری سالانه تعدیل میشود.
شایان ذکر است پس از عقد قرارداد، سهم بخش تعدیلپذیر بهای محصول در هر سال با اعمال ضریب تعدیلAF [9] طبق رابطه ذیل محاسبه شده و براساس اطلاعلت واقعی اعلام شده در سایت بانک مرکزی تعدیل خواهد شد.
نحوه محاسبه ضریب AF:

مقدار ضریب αبرابر است با سهم هزینههای ریالی دوره بهرهبرداری تجاری بهکل هزینههای دوران بهرهبرداری
9-3- دوره زمانی اجرایی شدن پروژه
با توجه به ماهیت این نوع پروژهها زمانبندی زیر باید مبناي تهیه گزارش توجیهی، مدل مالی و اسناد مناقصه قرار گیرد:
– دوره تهیه گزارش توجیهی، اسناد فراخوان و مناقصه و اخذ تأییدهای مربوطه: 3 تا 6 ماه (این دوره شامل اخذ مصوبه فنی از دفتر مطالعات و بررسیهای فنی شرکت مهندسی آب و فاضلاب کشور نمیباشد).
– دوره برگزاري مناقصه تا انتخاب سرمایهگذار و مبادله قرارداد: 4 تا 8 ماه
تبصره: برخی از فعالیتهای بندهاي فوق میتواند بهصورت موازي انجام شود.
– دوره احداث پروژه: 1 تا 3 سال
– دوره بهرهبرداری تجاري پروژه: بر اساس شرایط مالی و برنامهریزی مدیریتی پروژه
تبصره: در برخی از پروژهها بندهاي فوق میتواند بهصورت موازي انجام شود
10-3- روش محاسبه استهلاك هزینههای سرمایهگذاری
محاسبه و اعمال استهلاک بر اساس ماده 149 اطلاحی قانون مالیاتهای مستقیم مورخ 1394/4/31 در نظر گرفته شود و درصورتیکه طول عمر تأسیسات بیشتر از دوره بهرهبرداری تجاری باشد، محاسبه و اعمل استهلاک به نسبت سنوات دوره بهرهبرداری تجاری لحاظ خواهد گردید.
11-3- محاسبات ارزش اسقاط
در خصوص پروژههای BOO که در پایان دوران قرارداد سرمایهگذار مالک داراییهای پروژه میگردد میتواند ارزش اسقاط آن بخش از سرمایهگذاری اولیه و بازسازی و نوسازی اساسی (Overhaul) که در پایان قرارداد قابلیت فروش دارد، در درآمدهای سال پایانی دوره بهرهبرداری تجاری پروژه لحاظ گردد.
12-3-کسورات قانونی قرارداد
کسورات قانونی در قرارداد خرید تضمینی محصول، تابع ضوابط قراردادهاي خریدوفروش میباشند. محصول پروژه مطابق بند (و) ماده (1) قانون الحاق برخی مواد به قانون تنظیم بخشی از مقررات مالی دولت (2) مشمول مالیات بر ارزشافزوده نمیشود. همچنین در خصوص مالیات بر ارزشافزوده، که سرمایهگذاران در دوره احداث و بهرهبرداری تجاری برای خرید کالا و خدمات پرداختنمودهاند بر اساس ماده (17) قانون مالیات بر ارزشافزوده عمل خواهد شد.
13-3- سهم خرید پیش از موعد محصول پروژه در دوره احداث
مطابق بخش پنجم شرایط خصوصی نمونه قراردادهاي تضمین خرید آب/پساب و تأسیسات نمکزدایی، سهم پیشخرید محصول در دوره احداث، معادل ظرفیت سال اول بهرهبرداری بر اساس بهاي محصول در سال عقد قرارداد تعیین میگردد.
14-3- نحوه محاسبه و اعمال مالیات بر درآمد [10]
طبق قوانین و معافیتهای مالیاتی در نظر گرفتهشده براي سرمایهگذاری در مناطق محروم، مناطق آزاد و سایر نقاط کشور، مالیات بر درآمد اعمال گردد.
15-3- نحوه تشکیل جریان گردش نقدینگی پروژه

16-3- نحوه تهیه مدل مالی ثانویه
جهت تعیین جبران خسارت عدم توانایی در تحویل آب خام/ فاضلاب/ پساب و یا عدم دریافت محصول به شرح زیر مدل مالی ثانویه با حفظ مبانی مالی مدل اصلی تهیه میگردد:
– هزینههای سرمایهگذاری اولیه طبق مدل اصلی
– هزینههای ثابت بهرهبرداری و نگهداري سالانه طبق مدل اصلی
– هزینههای متغیر بهرهبرداری و نگهداري سالانه لحاظ نمیگردد.
–هزینه بازسازی و نوسازی اساسی پروژه (Overhaul) لحاظ نمیگردد.
–سایر مبانی مالی مطابق مدل اصلی

4 فصل 4
دستورالعمل شرکت در مناقصه قراردادهاي سرمایهگذاری با مشارکت بخش غیردولتی به روش BOO/BOT/ROT
1-4-مقدمه
1-1-4-دامنه کاربرد و کلیات
1-1-1-4- این دستورالعمل، برای مناقصه قراردادهایی که به روشهای مشارکتی اعم از BOO/BOT/ROT به صورت یک مرحلهای و یا دومرحلهای واگذار میشوند، کاربرد دارد.
2-1-1-4- این دستورالعمل، شامل متن حاضر و پیوست آن، کاربرگ مناقصه است. مفاد کاربرگ مناقصه، از سوي مناقصه گزار با توجه به ویژگی کارهاي موضوع هر مناقصه درج یا تکمیل میشوند.
3-1-1-4- در این دستورالعمل، واژهها و عبارتها معانی تعریفشده زیر را دارند:
1-3-1-1-4- "نامه پذیرش ": یعنی نامهای طی آن "برگ پیشنهاد مناقصه" و هر توافق امضاشده از سوی دو طرف و پیوست شده به آن، بهطور رسمی از سوی مناقصه گر پذیرفتهشده و به امضای وی رسیده است.
2-3-1-1-4- "برگ پیشنهاد قیمت": یعنی مدرکی با همین عنوآنکه از سوی مناقصه گر تکمیلشده و شامل پیشنهاد امضاشده مناقصه گر برای کارهاست
3-3-1-1-4- "پیشنهاد فنی- بازرگانی مناقصه گر": یعنی مدرکی با همین عنوآنکه مناقصه گر همراه با برگ پیشنهاد مناقصه ارائه میدهد، همان گوه که در اسناد مناقصه آمده است.
4-3-1-1-4- "پیشنهاد مناقصه": یعنی برگ پیشنهاد مناقصه و همه مدارک دیگری که مناقصه گر همراه با برگ پیشنهاد قیمت تسلیم کرده، به همانگونه که در اسناد مناقصه آمده است. پیشنهاد مناقصه، ممکن است بهمنظور اختصار، بهصورت "پیشنهاد" نیز به کار رود.
5-3-1-1-4- "فراخوان": مشتمل بر آگهی یا نامه "نامه دعوت به ارائه پیشنهاد" (دعوتنامه) میباشد و آگهی عنوان مدرکی است که از سوی مناقصه گر در روزنامهای پرتیراژ به اطلاع رسانیده و "نامه دعوت به ارائه پیشنهاد". عنوان مدرکی است که از سوی مناقصه گزار به تمام شرکتکنندگان منتخب فرستادهشده و با وصول یکی از آنها، میتوانند اسناد مناقصه را دریافت کنند. نامه دعوت به ارائه پیشنهاد، بهاختصار "دعوتنامه" هم نامیده میشوند. "فراخوان" صادره، قسمتی از اسناد مناقصه تلقی میگردد.
6-3-1-1-4- "خواستههای مناقصه گزار": الزاماتی که از سوی مناقصه گزار در اسناد مشخصشده و "مناقصه گر" ملزم به رعایت آنها میباشد.
7-3-1-1-4- "اسناد مناقصه": مجموعه مدارکی با همین عنوان است که در قبال ارائه نامه دعوت به ارائه پیشنهاد به مناقصه گران تحویل میشوند و حاوی مدارک یادشده در ماده 5 است.
4-1-1-4- این دستورالعمل، در هماهنگی با "نامه دعوت به ارائه پیشنهاد" تهیهشده است. در صورت مغایرت بین مفاد این دستورالعمل و دعوتنامه، مفاد دعوتنامه اولویت دارد.
5-1-1-4- این دستورالعمل، جزیی از "اسناد قرارداد"، قرار نخواهد گرفت. این دستورالعمل، توضیح روشهایی است که در مراحل مختلف برگزاری مناقصه، از مرحله صدور دعوتنامه تا مرحله تصمیم مناقصه گزار مبنی بر واگذاری کارهای موضوع مناقصه به یکی از مناقصه گران و مبادله قرارداد یا انصراف مناقصه گزار از واگذاری کارها بهکاربرده میشوند و آگاهیهایی را برای تهیه پیشنهاد مناقصه، به مناقصه گر میدهد.
6-1-1-4- مناقصه گران، باید پیشنهاد خود را با توجه به قوانین و مقررات جمهوری اسلامی ایرآنکه در کاربرگ مناقصه درجشده، تهیه و تسلیم نمایند.
7-1-1-4- مناقصه گر، باید تمام دستورالعملها، فرمها، کاربرگ ها، شرایط قرارداد، نقشهها و مشخصات فنی، جدولها و دیگر اطلاعات اسناد مناقصه را بهدقت مطالعه کند و در صورت داشتن ابهام یا تناقض در اسناد میتوانند مراتب را حداکثر تا هفت (7) روز کاری قبل از تاریخ انقضای مهلت تحویل اسناد، اعلام نموده و تقاضای توضیح کتبی نمایند. در این رابطه هرگونه توضیح، تجدیدنظر، حذف یا اضافه نمودن اسناد و مدارک نحوه تسلیم آنها کتبا از سوی مناقصه گزار اعلام و جزء اسناد و مدارک منظور میگردد. مناقصه گر، مسئول تأمین و تکمیل اطلاعات خواستهشده در اسناد مناقصه بهگونهای است که پیشنهاد تسلیمشده، پاسخگوی کامل اسناد مناقصه باشد. نقص مدارک پیشنهاد مناقصه یا تکمیل نکردن اسناد مناقصه به رد پیشنهاد منجر میشوند.
8-1-1-4- در این دستورالعمل، اختیارهای مهندس مشاور در انجام امور مناقصه، در کاربرگ مناقصه تعیینشده است.
9-1-1-4- سال عقد قرارداد، تاریخی است که بهعنوان تاریخ مبنای قرارداد، در اسناد درجشده و در اسناد مناقصه تعریفشده است.
10-1-1-4- با توجه به اینکه این دستورالعمل بهصورت عام برای انواع روشهای انجام پروژه بهصورت مشارکتی و برگزاری مناقصه بهصورت یک مرحلهای و دومرحلهای تنظیم گردیده است، لذا در انتهای بندهایی که در برخی روشها و شرایط برگزاری مناقصه لازم است تغسسرات یا ملاحظاتی در نظر گرفته شود، ذکر گردیده است.
11-1-1-4- مناقصه یک مرحلهای: مناقصهای تسن که به تشخیص دستگاه مناقصه گزار در آن نیازی به ارزیابی فنی-بازرگانی پیشنهادات نباشد.
12-1-1-4- مناقصه دومرحلهای: مناقصهای است که به تشخیص دستگاه مناقصه گزار در آن بررسی فنی-بازرگانی پیشنهادات لازم باشد.
2-1-4- مناقصه گران واجد شرایط
1-2-1-4- فرآیند برگزاري مناقصه بعد از انجام فرآیند ارزیابی کیفی (ارزیابی توان اجراي کار) متقاضیان انجام میگردد. مناقصه گرانی که در فرایند ارزیابی کیفی مناقصه گران (ارزیابی توان اجراي کار)، ذیصلاح تشخیص دادهشده و در فهرست کوتاه حضورداشته باشند، براي شرکت در مناقصه، دعوت میشوند.
2-2-1-4- با توجه به اینکه صلاحیت توان اجراي کار مناقصه گرانی که به مناقصه دعوت میشوند قبلاً احرازشده است، در مشارکتها، هرگونه تغییر در اعضاي مشارکت، منوط به جایگزینی اعضا همتراز با اعضای قبلی و تأیید کتبی مناقصه گزار، پیشازتاریخ تسلیم پیشنهاد است.
3-2-1-4- هر شرکت نمیتواند در یک مناقصه، عضو بیش از یک مشارکت باشد، اما میتواند بهعنوان پیمانکار دستدوم، در بیش از یک پیشنهاد معرفی شود.
4-2-1-4- مناقصه گران، نباید بهصورت مستقیم یا غیرمستقیم با اشخاصی که توسط مناقصه گزار براي انجام خدمات مشاوره و یا براي تهیه طرح و سایر مدارك مورداستفاده در کارهاي موضوع مناقصه، منصوبشدهاند، در زمینه کارهاي مربوط به قرارداد موضوع مناقصه، مشارکت داشته باشند.
3-1-4- مصالح و تجهیزات و مبادي قابلقبول
1-3-1-4- مصالح، تجهیزات و کارهایی که قرار است از خارج کشور تحت این قرارداد تأمین و یا انجام شوند، باید از مبدأ کشورهایی که با جمهوري اسلامی ایران روابط تجاري دارند، تهیه شود.
2-3-1-4- واژه مبدأ در این ماده، به معنی مکانی است که در آنجا مصالح و تجهیزات یا اجزاي تشکیلدهنده آنها استخراج، فرآوري یا تولیدشده است. تولید، یعنی محصول تجاري شناختهشدهای که از طریق ساخت، فرآوری یا مونتاژ قطعات اصلی، با مؤلفههای تشکیلدهنده آن ازنظر مشخصات و یا نحوه استفاده، تفاوت کلی دارد.
3-3-1-4- مبدأ مصالح و تجهیزات و کار، از ملیت مناقصه گر جدا باشد.
4-3-1-4- تمام تجهیزات و لوازمیدکی، باید نو، غیر مستعمل و اصلی باشند و از کارخانه تولیدکننده برای مناقصه گزار تهیه و ارسال شود. پیشنهادی که شامل تجهیزات آزمایشی، مستعمل، دوباره ساخته یا تعمیر شده باشد، پذیرفته نخواهد شد (در مناقصههای به روش BOO به تشخیص دستگاه مناقصه گزار، میتوان از تجهیزات کارکرده بهشرط ارائه گواهی بازرسی و تأیید عملکرد از سوی موسسههای معتبر (قابلقبول خریدار/ سرمایه پذیر) اخذ و ارائه شود، استفاده نمود. در این صورت باید شرایط آن در مشخصات فنی بهصراحت ذکر شود):
4-1-4- هزینه شرکت در مناقصه
1-4-1-4- هزینه تکثیر اسناد مناقصه، که بابت خرید آنها باید از سوي مناقصه گران پرداخت شود، در کاربرگ مناقصه، درج گردیده است.
2-4-1-4- هزینههای مناقصه گر، براي تهیه و تسلیم پیشنهاد و انجام مذاکرات، به عهده خود وي است و درصورتیکه در کاربرگ مناقصه به گونه دیگري تعیین نشده باشد، مناقصه گزار بدون توجه به نحوه انجام یا نتیجه مناقصه، در مورد این هزینهها مسؤولیت و تعهدي ندارد.
2-4- اسناد مناقصه
1-2-4-اسناد مناقصه
اسناد مناقصه شامل اجزاي زیر است:
1-1-2-4- نامه دعوت به ارائه پیشنهاد (دعوتنامه)
2-1-2-4- دستورالعمل شرکت در مناقصه (متن حاضر و کاربرگ مناقصه)، همراه با کاربرگ هاي تضمین شرکت در فرآیند ارجاع کار) مناقصه( و تضمین انجام تعهدات دوره پیش برد
3-1-2-4- برگ پیشنهاد قیمت
4-1-2-4- "موافقتنامه قرارداد" و پیوستهای آن و شرایط قرارداد شامل شرایط عمومی و خصوصی قرارداد
5-1-2-4- نقشهها و مشخصات فنی
6-1-2-4- جدولها (در صورت وجود)، ازجمله جدول "پرداختها"، جدول زمانی کارها، جدول تضمینها یا شاخصهای عملکردی، جدولهای دادهها و جدول (یا فهرست) مقادیر قیمتها
7-1-2-4- فرمها، گواهینامهها، تأییدیهها و مدارك دیگر (در صورت وجود(
8-1-2-4- الحاقیه هاي صادره بعدي از طرف مناقصه گزار در طول زمان برگزاري مناقصه
2-2-4- بررسی موضوع و اسناد مناقصه
1-2-2-4- مناقصه گر، باید قبل از تسلیم پیشنهاد مناقصه، اسناد مناقصه را بهدقت بررسی کرده و تمام اطلاعات لازم، مانند حملونقل، وضع راههای دسترسی، بنادر، محل و موقعیت کارگاه و حوالی آن، شرایط محلی، قوانین و مقررات نافذ و جاری را به دست آورد. مناقصه گر پس از تسلیم پیشنهاد، نمیتواند استناد به ناآگاهی یا اشتباه خود کند.
2-2-2-4- مناقصه گر، میتواند ) در صورت لزوم با هماهنگی مناقصه گزار) از محل ساختگاه و امکانات موجود، بازدید به عمل آورد. مناقصه گزار، به نمایندگان مناقصه گر اجازه ورود را به زمینها، ساختمانها و تأسیسات مربوط، براي بازدید در حد اختیار و امکان خود میدهد. درصورتیکه از سوي مناقصه گزار برنامهای براي بازدید در کاربرگ مناقصه پیشبینیشده باشد، طبق برنامه پیشبینیشده عمل خواهد گردید. مناقصه گزار، کارکنان و عوامل وي، هیچگونه مسؤولیتی در خصوص بازدید از محل کار و هرگونه عواقب و مخارج ناشی از آن ندارند. این بازدید در راستاي آگاهتر شدن مناقصه گر از شرایط کارهاي موضوع مناقصه است و نباید بهعنوان جایگزینی براي بررسی دقیق اسناد مناقصه، تلقی شود. اطلاعات شفاهی ارائهشده از سوي مناقصه گزار یا مهندس مشاور، تعهدي براي مناقصه گزار ایجاد نمیکند، مگر آنکه طی الحاقیهای به اسناد مناقصه افزوده شود.
3-2-2-4- شرکت در مناقصه و تسلیم پیشنهاد، بهمنزله آن تلقی خواهد شد که مناقصه گر تمام اسناد مناقصه را بهدقت مطالعه کرده و اطلاعات مربوط به آنها را تا حدي که یک مناقصه گر باتجربه میتواند به دست آورد، دست آورده است و ابهام یا اشتباهی به نظر او در اسناد مناقصه وجود ندارد ) بهاستثنای موارد اعلامشده از سوی مناقصه گر دربند 4-3-2-6).
4-2-2-4- هر یک از مناقصه گرآنکه در مورد مفهوم قسمتی از اسناد مناقصه، ابهام یا سؤالی داشته باشد، میتواند بهصورت کتبی یا الکترونیکی (منظور از الکترونیکی، دورنگار است)، مناقصه گزار را مطلع ساخته و تقاضاي دریافت توضیح کتبی بنماید. نشانی مناقصه گزار در کاربرگ مناقصه، مشخصشده است. اگر به نظر مناقصه گر قسمتی از مفاد اسناد مناقصه اشتباه یا اشکالی ازنظر مشخصات و یا محاسبات و غیره داشته باشد، مناقصه گر باید این اشتباه و اشکال را قبل از تسلیم پیشنهاد، در مهلت مقرر درکاربرگ مناقصه منعکس کند و در صورت اقتضا، پیشنهاد اصلاحی خود را ارائه نماید. مناقصه گزار، به درخواستهای ارائه توضیح یا اصلاح اسناد مناقصه که در مهلتی که براي این منظور در کاربرگ مناقصه تعیینشده است دریافت کند کتبا پاسخ خواهد داد. پاسخ مناقصه گزار و شرح پرسشها یا اشکالها، بهگونهای که منبع درخواست آنها مشخص نشود، براي تمام مناقصه گرانی که اسناد مناقصه را دریافت نموده و اعلام انصراف نکردهاند، بهطور یکسان ارسال خواهد شد. عدم اظهارنظر مناقصه گر، بهمنزله بدون اشکال و واضح بودن اسناد مناقصه، ازنظر وي تلقی خواهد شد.
5-2-2-4- درصورتیکه در کاربرگ مناقصه تعیینشده باشد، از نمایندگان منتخب مناقصه گران دعوت میشوند در جلسه توجیهی که در مکان و زمان درجشده در کاربرگ مناقصه برگزار میگردد، شرکت کنند. هدف از تشکیل این جلسه، تشریح کارهاي موضوع مناقصه و پاسخ به پرسشهایی است که ممکن است در ارتباط با اسناد مناقصه مطرح شود. از مناقصه گران درخواست میشوند در حد امکان، پرسشها را کتبی یا از طریق دورنگار و حداقل یک (1) هفته قبل از تشکیل جلسه، تسلیم مناقصه گزار کنند. متن پرسشهاي مطرحشده و پاسخ مربوط براي تمام مناقصه گرانی که اسناد مناقصه را دریافت نموده و اعلام انصراف نکردهاند، بهطور یکسان ارسال خواهد شد. هرگاه درنتیجه برگزاري جلسه توجیهی، نیاز به اصلاح اسناد مناقصه باشد، این کار با صدور الحاقیه انجام میگیرد.
3-2-4-تجدیدنظر در اسناد مناقصه و صدور الحاقیه
1-3-2-4- مناقصه گزار، میتواند در هر زمان تا تاریخ تعیینشده در کاربرگ مناقصه، یا درصورتیکه در کاربرگ مناقصه زمانی تعیین نشده است، مدت هفت (7) روز پیش از آخرین روز تعیینشده برای تسلیم پیشنهادها، در پاسخ به توضیحات درخواست شده از سوی مناقصه گران، یا به هر دلیل دیگر و یا به صلاحدید خود، با صدور الحاقیههایی، در اسناد مناقصه تجدیدنظر به عملآورده و یا موعد تسلیم یا گشایش پیشنهادها را به تعویق بی اندازد
2-3-2-4- هرگاه تجدیدنظر در اسناد مناقصه مستلزم تغییر کارهاي موضوع مناقصه باشد، باید مراتب طی الحاقیهاي به مناقصه گران اعلام گردد و فرصت کافی براي اعمال اصلاح و تغییر به ایشان داده شود. مناقصه گران، باید بیدرنگ وصول الحاقیه را اعلام کنند و چنین فرض خواهد شد که اطلاعات درجشده در آن، از سوي آنها موردتوجه قرار خواهد گرفت.
3-3-2-4- الحاقیه ها، اجزاي جدانشدنی اسناد مناقصه محسوب میگردند.
3-4-تهیه پیشنهاد
1-3-4- زبان پیشنهاد
1-1-3-4- پیشنهاد مناقصه و تمام مکاتبهها و مدارك مربوط به آن، باید به زبان (هاي) تعیینشده در کاربرگ مناقصه باشد. هرگاه مدارکی به زبان دیگري باشد، باید ترجمه بخشهایی از آنکه طبق مفاد اسناد مناقصه لازم است، به زبان تعیینشده در کاربرگ نیز ارائه شود و در صورت مغایرت ترجمه اولویت خواهد داشت.
2-3-4- مدارك تشکیلدهنده پیشنهاد مناقصه
پیشنهاد مناقصه، باید شامل مدارك زیر باشد:
1-2-3-4- تضمین شرکت در فرآیند ارجاع کار (مناقصه)، طبق مفاد ماده 12 دستورالعمل
2-2-3-4- برگ پیشنهاد قیمت، جدول (یا فهرست) مقادیر و قیمتها (در صورت وجود) و آنالیز قیمت پیشنهادي (در صورت وجود) تکمیل، امضا و مهرشده توسط مناقصه گر
3-2-3-4- وکالتنامه محضري، دال بر اینکه امضاکننده (گان) پیشنهاد از سوي صاحبان امضاي مجاز مناقصه گر، مجاز به این کار بوده است) اند) و پیشنهاد، در دوره اعتبار آن طبق مفاد ماده13، براي مناقصه گر یک سند تعهدآور است.
4-2-3-4- جدولهاي موجود در اسناد مناقصه، که از سوي مناقصه گر تکمیلشده است.
5-2-3-4- پیشنهاد فنی- بازرگانی، در مناقصههای دومرحلهای، شامل: شرح تفصیلی پیشنهاد براي مشخصات فنی تجهیزات، سازمان و روش اجراي کارهاي موضوع مناقصه و نیز سایر اطلاعات فنی مانند: بروشورها و جزییات دیگري از مصالح، تجهیزات، لوازمیدکی و فناوریهای ویژه است.
6-2-3-4- شرح تفصیلی راهحلهای پیشنهادی برای رفع اشتباه یا اشکال، در مدارک فنی ازجمله نقشهها و مشخصات فنی که به نظر مناقصه گر، اشتباه بوده یا اشکال داشته و باوجود اعلام مناقصه گر طبق بند 6-4 هنوز به نظر او دارای اشتباه یا اشکال است.
7-2-3-4- این دستورالعمل و سایر مدارك اسناد مناقصه که به مهر و امضاي مناقصه گر رسیده باشد.
8-2-3-4- در مناقصههای دومرحلهای، مناقصه گر، باید تمام یا قسمتی از اطلاعات تکمیلی موردنیاز برحسب نوع کار و قرارداد را که رئوس آن در زیر اعلامشده و بهعنوان نمونه در کاربرگ مناقصه مشخصشده است، تسلیم کند و به آنها متعهد باشد. مواردي از این اطلاعات که به تشخیص مناقصه گزار لازم باشد جزیی از پیشنهاد فنی - بازرگانی مناقصه گر تلقی شود، درکاربرگ مناقصه تعیین میگردد.
1-8-2-3-4- شرح سازمان و ساختار مدیریتی مناقصه گر، براي انجام کارهاي موضوع مناقصه و نحوه ارتباط این سازمان، با سازمان کلی مناقصه گر
2-8-2-3-4- تفکیک کارهاي موضوع مناقصه، که هر یک از اعضاي مشارکت یا گروههای کاري مختلف مناقصه گر یا پیمانکاران دستدوم (در صورت وجود)، انجام خواهند داد.
3-8-2-3-4- اطلاعات مربوط به روش انجام کارهاي موضوع مناقصه، در مواردي که در نقشهها و مشخصات فنی تعیین نشده باشد، حداقل شامل:
–مهندسی و طراحی، در مواردي که طراحی قسمتی از کارها به عهده مناقصه گر باشد، شامل:
- نوع استانداردها و آییننامههای مورداستفاده
-روشها، رویکردها و راهحلهای پیشنهادي، براي طراحی اجزاي کار
– چگونگی تدارك تجهیزات، شامل امور قراردادي، انتخاب تأمینکنندگان، بازرسیها و کنترل کیفیت و حمل آنها
– چگونگی تدارك مصالح، تأمین نیروي انسانی و ماشینآلات موردنیاز براي انجام کارها
– روش اجراي کارهاي ساختمانی به تفکیک سازههای مختلف و نوع فعالیتهای اجرایی
– روش نصب، آزمایش و راهاندازی تجهیزات و سایر کارهایی که نیاز به آزمایش و راهاندازی دارد.
– روش تأمین و کنترل ایمنی
– روش آموزش کارکنان مناقصه گزار براي بهرهبرداری (در صورت وجود درکارهاي موضوع مناقصه(
4-8-2-3-4- برنامه زمانی اجراي فعالیتهای مختلف کارهاي موضوع مناقصه (طراحی، تدارکات، اجرا، نصب، راهاندازی، بهرهبرداری، انتقال)، با نشان دادن منابع پیشنهادي تخصیصی، ازجمله نیروي انسانی، ماشینآلات مناقصه گر و مصالح و چگونگی بهروزرسانی زمانبندی و کنترل پیشرفت کارها
5-8-2-3-4- برنامه جامع تضمین و کنترل کیفیت، براي انجام کارهاي موضوع مناقصه
با توجه به مسؤولیتهای مناقصه گر در این مناقصه، علاوه بر نظارتی که از سوي مشاور و مناقصه گزار اعمال میشوند، تضمین کیفیت با ایجاد سیستم خودکنترلی در درون سازمان مناقصه گر حاصل میگردد. ازاینرو لازم است که برنامه کنترل و تضمین کیفیت مناقصه گر از ابتدا مشخص بوده و کلیه الزامات و شرایط آن در انجام شرح خدمات موضوع قرارداد مدنظر قرار گیرد.
مناقصه گر بهعنوان بخشی از پیشنهاد فنی- بازرگانی موظف است برنامه جامع کنترل و تضمین کیفیت خود را ارائه نماید. این برنامه در حین مذاکرات قراردادي و با نظر مناقصه گزار، اصلاح و تکمیلشده و مبناي اقدامات بعدي وي قرار خواهد گرفت.
6-8-2-3-4- ساختار شکست کارهاي دوره احداث پروژه )WBS(
ساختار شکست کارهاي دوره احداث تا سطح 2 در کاربگ مناقصه درجشده است. مناقصه گر موظف است در زمان ارائه پیشنهاد این ساختار را حداقل تا سطح 3، ریز کرده و ارائه نماید.
در دوره پیشبرد سرمایهگذار موظف به ارائه برنامه زمانبندی تفصیلی با رعایت ای ن برنامه و موعدهای کلیدی مندرج در قرارداد میباشد. این برنامه پس از تأیید خریدار /سرمایه پذیر مبناي انجام فعالیتهای دوره احداث و تبعات حقوقی ناشی از آن خواهد بود.
7-8-2-3-4- سیستم کنترل پیشرفت کار
مناقصه گر بایستی سیستم کنترل پیشرفت پروژه شامل زمان، هزینه و منابع اجرایی خود را تشریح نماید.
8-8-2-3-4- مدارك مثبت، دال بر اینکه مصالح و تجهیزات، با مشخصات درخواست شده در نقشهها و مشخصات فنی تطبیق دارد. این مدارك، باید نشان دهد که مصالح و تجهیزات پیشنهادي و کشورهاي مبدأ آنها، با اسناد مناقصه تطبیق دارد.
مدارك مثبت نشاندهنده تطبیق تجهیزات با اسناد مناقصه، ممکن است به شکل گزارش، نقشه و اطلاعات بوده و
باید موارد زیر را در برداشته باشند:
– شرح تفصیلی ویژگیهای عملکردي و فنی تجهیزات
– فهرستی شامل مشخصات کامل منابع موجود جهت تهیه قطعات یدکی، ابزار مخصوص و غیره که براي کار کردن مداوم و مناسب تجهیزات ضرورت دارد.
– توضیحی از مشخصات فنی و مدارك کافی، در مورد قابلقبول بودن مصالح و تجهیزات پیشنهادي، بر اساس مشخصات یادشده
– مناقصه گري که تأمین یا نصب تجهیزاتی را پیشنهاد میدهد که خود تولیدکننده، سازنده یا نصب کننده آنها نیست، باید از سوي سازنده یا تولیدکننده آن تجهیزات، مجاز به تأمین یا نصب آنها در داخل کشور باشد و اطمینان دهد که سازنده تجهیزات، بر اساس ضوابط این دستورالعمل، یک شرکت واجد شرایط است.
تبصره- مناقصه گران، باید توجه داشته باشند که استانداردهاي تعیینشده از سوي مناقصه گزار در اسناد مناقصه براي طراحی، نیروي کار، مصالح و تجهیزات حداقل است. مناقصه گر، میتواند از استانداردهاي دیگري استفاده کند، مشروط بر آنکه نشان دهد که موارد جایگزین شده، معادل یا برتر از استانداردهاي تعیینشده در مشخصات فنی است (مگرانکه بهصراحت در اسناد به گونۀ دیگري ذکرشده باشد).
9-2-3-4- مناقصه گر، باید جزییات اقلام اصلی تجهیزات، یا خدماتی را که از طریق پیمانکاران دستدوم تأمین میکند، با درج نام و ملیت پیمانکاران دستدوم پیشنهادي، شامل فروشندگان هرکدام از آن اقلام، در پیشنهاد خود ارائه کند. مناقصه گر، میتواند براي انجام هر کاري بیش از یک پیمانکار دستدوم معرفی کند، اما نرخ و قیمتهای تعیینشده در پیشنهاد، صرفنظر از آنکه کدامیک از پیمانکاران دستدوم کار را انجام دهد باید ثابت باشد. مناقصه گر، باید اطمینان دهد که تمام پیمانکاران دستدوم پیشنهادشده، واجد شرایط بوده و مصالح و تجهیزات یا خدماتی که قرار است توسط آنها تأمین شود، طبق شرایط ماده 3 خواهد بود. مناقصه گزار، حق حذف هر یک از پیمانکاران دستدوم پیشنهادي را پیش از امضاي قرارداد، براي خود محفوظ نگاه داشته و پس از مذاکره بین مناقصه گزار و مناقصه گر، پیمانکاران دستدوم تأییدشده و کارهاي مربوط به هرکدام از آنها، فهرست خواهد شد.
10-2-3-4- مناقصه گران نمیتوانند بیش از یک پیشنهاد تسلیم کنند، مگر آنکه طبق مفاد کاربرگ مناقصه، مناقصه گران، مجاز به ارائه پیشنهاد جایگزین باشند. مناقصه گرانی که میخواهند گزینه(هاي) فنی متنوعی را با انحرافهای معقول از اسناد مناقصه، بهعنوان گزینه(هاي) جایگزین پیشنهاد دهند، ابتدا باید پیشنهاد خود را در مورد گزینهای که با اسناد مناقصه (با لحاظ انحرافهای مجاز) تطبیق دارد و گزینه پایه نامیده میشوند ارائه کنند. علاوه بر آن، براي تمام گزینه(هاي) فنی جایگزین، اطلاعات لازم شامل نقشهها، محاسبات، مشخصات فنی، روش نصب و اجراي پیشنهادي و دیگر جزییات مربوط را براي ارزیابی کامل از سوي مناقصه گزار، ارائه کنند.
11-2-3-4- مدارك دیگري که طبق مفاد این دستورالعمل درخواست شده است، باید همراه با پیشنهاد مناقصه ارائه گردد.
12-2-3-4- فهرستی از تمام مدارك و ضمایم تشکیلدهنده پیشنهاد مناقصه که دسترسی به آنها را تسهیل کند، باید همراه پیشنهاد ارائه شود.
13-2-3-4- در مواردي که پیشنهاد از سوي یک مشارکت تسلیمشده باشد:
1-13-2-3-4- تمام مدارك موردنیاز پیشگفته، باید به صورتی امضا شود که قانونا براي تمام اعضاي مشارکت تعهدآور باشد و آنان را متعهد به تمام تعهدات پذیرفتهشده از سوي مشارکت در پیشنهاد مناقصه، متعهد کند. ازاینرو همراه پیشنهاد، باید وکالتنامه محضري با امضاي تمام اعضاي مشارکت مبنی بر اینکه امضاکننده پیشنهاد، از سوي آنان اختیار تام براي امضاي پیشنهاد را دارد ارائه شود.
2-13-2-3-4- نسخهای از موافقتنامه مشارکت بین اعضا نیز، باید همراه پیشنهاد ارائه شود. موافقتنامه مشارکت باید شامل موارد زیر باشد، اما محدود به آنها نباشد:
الف- درصد سهام هر یک از اعضا در مشارکت.
ب- حیطه وظایف و مسؤولیتهای هر یک از اعضا همراه با معرفی رهبر مشارکت.
3-13-2-3-4- یکی از اعضاي مشارکت که مسوول ارائه بخشهای کلیدي قرارداد نیز هست، باید بهعنوان رهبر مشارکت تعیین شود. این واگذاري اختیارها و مسؤولیتها، باید بهصورت وکالتنامهای رسمی که به امضاهاي مجاز تمام اعضا رسیده است، همراه با پیشنهاد ارائه شود. رهبر مشارکت، باید مجاز به قبول مسؤولیت و دریافت دستورها و مکاتبهها به نمایندگی از هریک و تمام اعضاي مشارکت باشد.
14-2-3-4- مناقصه گزار، تمام اطلاعات دریافتی را محرمانه تلقی کرده و از افشاي آن، خودداري مینماید.
3-3-4- قیمتهای پیشنهاد
1-3-3-4- قیمتهاي پیشنهاد باید به ترتیب تعیینشده در جدول (یا فهرست) مقادیر و قیمتها (در صورت وجود)، یا طبق نحوه مشخصشده در اسناد مناقصه ارائه شوند.
2-3-3-4- در مواردي که طبق اسناد مناقصه، قیمت اقلام کار باید از سوي مناقصه گر پیشنهاد شود، قیمت هر یک از اقلام جدول
(یا فهرست) مقادیر و قیمتها، باید در مقابل آن نوشته شود. هرگاه قیمت قلمی در مقابل آن نوشتهنشده باشد، فرض بر این خواهد بود که قیمت آن قلم، در سایر اقلام جدول (یا فهرست)
مقادیر و قیمتها منظور
گردیده است.
3-3-3-4- قیمتهاي پیشنهاد شامل قیمتهاي کامل کارهاي مشروحه، ازجمله سود مناقصه گر، هزینههای بالاسري مانند مالیات، عوارض گمرکی، سایر عوارض قانونی، بیمه تأمین اجتماعی، مزایاي قانونی کارکنان و کلیه ضرایب متعلقه و سایر هزینههای مشابه (مربوط به داخل یا خارج کشور) است، مگر اینکه در اسناد مناقصه، بهروشنی مستثنی شده باشند. همچنین این قیمتها شامل تمام هزینههایی است که ممکن است در جریان اجراي کارها و براي آنها واقع شوند و با در نظر گرفتن تمام مخاطرهها، مسؤولیتها و تعهدهایی است که در اسناد مناقصه بهصراحت یا بهصورت ضمنی بیانشده و شرکت در مناقصه، بر مبناي آنها صورت میگیرد. جدول (یا فهرست) مقادیر و قیمتهاي درجشده در اسناد مناقصه ممکن است بهصورت سرجمع تهیهشده باشد. در این صورت، پیشنهاددهندگان موظف هستند نسبت به تهیه فهرست تفصیلی و تکمیل آن، در صورت لزوم طبق اسناد مناقصه، اقدام نموده و به پیشنهاد خود پیوست کنند.
4-3-3-4-کلیه شرایط درجشده در پیشنهاد مالی مناقصه گر فرضیات وي بوده و مسؤولیت آن را میپذیرد و کلیه تبعات ناشی از تغییر این موارد را در پیشنهاد خود باید لحاظ نماید. مناقصه گزار هیچگونه تعهدي در خصوص تام ین مالی پروژه و ملاحظات مربوط به آن را ندارد. پیشنهاد مناقصه گر درصورتیکه مشروط به تحقق شرایط ذکرشده در پیشنهاد مالی وي باشد، مردود تلقی شده و مطابق اسناد با وي برخورد میگردد. درهرصورت به تشخیص کمیسیون مناقصه هر موضوعی که پیشنهاد مناقصه گر را مشروط نموده باشد، از متن پیشنهاد مناقصه گر حذف خواهد شد و مناقصه گر حق هیچگونه اعتراضی در این خصوص نخواهد داشت.
5-3-3-4- در صورت ارائه پیشنهاد جایگزین (در صورت مجاز بودن)، اگر قیمت پیشنهاد جایگزین باقیمت پیشنهاد پایه متفاوت باشد، براي هر پیشنهاد جایگزین، یک برگ پیشنهاد مجزا و جدول (یا فهرست) مقادیر و قرار داده میشوند" ج" قیمتهاي مربوط به آن تهیه گردیده و همگی در پاکت
4-3-4- ارزهاي پیشنهاد
1-4-3-4- پیشنهاد مناقصه، باید به ترتیب تعیینشده در کاربرگ مناقصه، قیمتگذاری شود.
2-4-3-4- اگر در کاربرگ مناقصه، نرخ تبدیل براي ارز (ها) تعیین نشده باشد، نرخهای تبدیل حاکم، بیستوهشت (28) روز قبل از تاریخ ارائه پیشنهاد که از سوي بانک مرکزي جمهوري اسلامی ایران تعیین گردیده، نافذ خواهد بود.
5-3-4- تضمین شرکت در فرآیند ارجاع کار (مناقصه)
1-5-3-4- مناقصه گر براي شرکت در مناقصه، باید تضمینی به مبلغ تعیینشده در کاربرگ مناقصه، به ریال که اعتبار آن از تاریخ آخرینمهلت تسلیم پیشنهادها آغاز میشوند، طبق فرم تعیینشده در اسناد مناقصه، از یکی از بانکهای ایرانی و طبق ضوابط درجشده در کاربرگ مناقصه، تهیه و بهضمیمه پیشنهاد خود ارائه نماید.
2-5-3-4- پیشنهادهاي فاقد تضمین شرکت در فرآیند ارجاع کار (مناقصه)، قابلقبول نبوده و رد خواهند شد.
3-5-3-4- تضمینهاي شرکت در فرآیند ارجاع کار) مناقصه( مناقصه گران، بهاستثنای برنده مناقصه و مناقصه گري که پیشنهاد وي در مرتبه دوم قرار میگیرد، در اسرع وقت آزادشده و مراتب به مناقصه گران اعلام خواهد گردید.
4-5-3-4- تضمین شرکت در فرآیند ارجاع کار (مناقصه) برنده مناقصه و مناقصه گري که پیشنهاد او در مرتبه دوم قرار دارد، پس از مبادله قرارداد و تسلیم تضمین انجام تعهدات دوره پیش برد از سوي مناقصه گر مرتبه اول، به مناقصه گر بازگردانده میشوند. در صورت لزوم، این تضمین به هزینه مناقصه گران در محدوده مدت تعیینشده براي تجدید آن، تمدید خواهد گردید.
5-5-3-4- تضمین شرکت در فرآیند ارجاع کار (مناقصه)، در حالتهای زیر ضبط میشوند:
1-5-5-3-4- هرگاه مناقصه گر پیشنهاد خود را در مدتی که اعتبار دارد، پس بگیرد.
2-5-5-3-4- در مورد برنده مناقصه، درصورتیکه:
الف- قرارداد را طبق مفاد ماده 28 این دستورالعمل امضا نکند، یا
ب- تضمین "دورهی پیشبرد" را طبق مفاد ماده 29 این دستورالعمل نسپارد
6-3-4- مدت اعتبار پیشنهاد مناقصه
1-6-3-4- پیشنهادها، باید از هر نظر، از آخرین موعد تسلیم پیشنهادها براي مدتی که در کاربرگ مناقصه مشخصشده است، معتبر باشند. پیشنهادهایی که براي مدت کمتري اعتبار داشته باشند، از سوي مناقصه گزار رد خواهند شد
7-3-4- شکل و امضای پیشنهاد مناقصه
1-7-3-4- پیشنهاد مناقصه، باید به ترتیب تعیینشده در این دستورالعمل و بهویژه ماده 15 تهیه، تکمیل و مهر و امضا شود و با اسناد دیگري که در این دستورالعمل بیانشده است، در لفاف مناسب و لاك و مهرشده قرار داده شود.
2-7-3-4- پیشنهاد مناقصه، باید متضمن اطلاعات کامل در مورد مناقصه گر و نام کسانی که اختیار امضاي اسناد تعهدآور و قراردادها را دارند، باشد و به وسیله صاحبان امضای مجاز مناقصه گر براساس بند 9-3 این دستورالعمل، امضا شود.
3-7-3-4- هرگونه پاکشدگی، قلمخوردگی یا تغییر در عبارتها یا ارقام، باید با امضاي مجاز و مهر مناقصه گر، مورد تأیید قرار گیرد.
4-7-3-4- تمام صفحهها و برگههای اسناد مناقصه و پیشنهاد، هرگونه الحاقیه ها و یا اصلاحیهها باید به امضاي دارندگان امضاء مجاز مناقصه گر رسیده و مهر شود.
5-7-3-4- پیشنهاد باید داراي تاریخ باشد.
4-4-تسلیم پیشنهادها
1-4-4-لاك و مهر و نشانهگذاری پیشنهادها
1-1-4-4- اسناد و مدارك پیشنهاد مناقصه، باید به ترتیب زیر در پاکتهای سهگانه قرار ارائه شود:
2-1-4-4- مناقصه گران میبایست اسناد و مدارک خود را در قالب سه پاکت جداگانه "الف" و "ب" و "ج" تحویل نمایند.
محتویات پاکت حاوی اسناد و مدارک پیشنهاد مناقصه، باید به ترتیب زیر در پاکتهای سهگانه قرار داده شود:
- پاکت "الف" مربوط به تضمین شرکت در فرآیند ارجاع کار (مناقصه) میباشد.
پاکتی که با عنوان پاکت "الف" مشخص شوند و حاوی تضمین موضوعبند 4-3-2-1 است.
- پاکت "ب"، مربوط به پیشنهاد فنی- بازرگانی و حاوی اسناد زیر است:
- یک نسخه از اسناد مناقصه تعیینشده در ماده 5 (بهاستثنای برگ پیشنهاد قیمت و جدول ضرایب جزء فصول یا جدول فهرست مقادیر قیمتها)، تکمیل، مهر و امضاشده از سوی مناقصه گر
-
مدارک پیشنهاد فنی-
بازرگانی (در مناقصههای دومرحلهای) و تمام مدارک پیشنهاد مناقصه (موضوعبند
4-3-2-5 تا 4-3-2-9)
- همچنین سایر مدارك مندرج در کاربرگ مناقصه
در پاکت "ب"، هیچگونه اطلاع که به قیمت مربوط باشد و از آن تمام یا بخشی از مبلغ پیشنهادی قابلاستخراج باشد، نباید قرار گیرد.
- پاکت "ج"، مربوط به پیشنهاد قیمت
پاکت دیگری که با عبارت پاکت "ج" مشخص میشوند و حاوی برگ پیشنهاد قیمت، جداول "مدل مالی" و "مدل مالی ثانویه"، جداول یا فهرست مقادیر و قیمتها (در صورت وجود) و آنالیز قیمت پیشنهادی (در صورت وجود)، موضوعبند 4-3-2-2 خواهد بود.
3-1-4-4- تمام محتویات پاکتهای "ب" و "ج"، باید به شمار مشخصشده در کاربرگ مناقصه (یک نسخه اصل و بقیه نسخهها رونوشت)، تهیه و تسلیم شوند. روی جلد نسخه اصل، باید عبارت "اصل" و روی جلد نسخههای رونوشت، عبارت "رونوشت 1"، و "رونوشت 2" و "رونوشت ..." نوشته شود. در صورت وجود اختلاف بین نسخههای مختلف، نسخه اصل ملاک عمل خواهد بود.
هریک از سه پاکت "الف"، "ب" و "ج"، باید لاک و مهرشده و جمعه در لفاف یا پاکت لاک و مهرشده دیگری گذارده شوند و روی آنها نام و نشانی مناقصه گر، عنوان و شماره نامه دعوت به ارائه پیشنهاد، و عبارت "تا تاریخ {.../ .../ ... (تاریخ جلسه گشایش پیشنهادها)} باز نشود"، بهوضوح نوشتهشده باشد.
2-4-4- مهلت تسلیم پیشنهادها
1-2-4-4- مناقصه گران باید پیشنهاد خود را با رعایت این دستورالعمل و به شرح درجشده در آن، تکمیل کنند و تا ساعت و تاریخ تعیینشده در کاربرگ مناقصه، به نشانی پستی درجشده در کاربرگ مناقصه، تسلیم نموده و رسید دریافت کنند. مناقصه گزار، همه پیشنهادهاي دریافت شده را ثبت کرده و تا جلسه گشایش پیشنهادها، از آنها صیانت مینماید.
2-2-4-4- مناقصه گزار، ممکن است به تشخیص خود، مهلت تسلیم یا گشایش پیشنهادها را طبق بند 4-2-3-1 تمدید کند. در این حالت، تمام حقوق و تعهدهاي مناقصه گزار و پیشنهاددهندگان، تابع مهلت تمدیدشده است.
3-2-4-4- مناقصه گزار، پیشنهادهایی را که دیرتر از مهلت یادشده تسلیم شود، دریافت نخواهد کرد.
3-4-4- اعلام عدم تمایل، اصلاح، جایگزینی و پس گرفتن پیشنهاد مناقصه
1-3-4-4- درصورتیکه خریدار اسناد مناقصه به هر علت مایل به شرکت در مناقصه نباشد، باید حداکثر ظرف مدت تعیینشده در کاربرگ مناقصه، مراتب را کتبا به مناقصه گزار اعلام نماید.
2-3-4-4- مناقصه گر، میتواند پیشنهاد خود را پس از تسلیم، اصلاحکرده یا پس بگیرد، بهشرط آنکه اصلاح پیشنهاد یا اعلام تمایل به پس گرفتن آن، طبق بند 4-4-3-3، پیش از مهلت تعیینشده برای تسلیم پیشنهاد انجامشده باشد.
3-3-4-4- مناقصه گري که بخواهد پیشنهادي را پس بگیرد و یا اصلاح کند، باید کتبا مناقصه گزار را پیش از آخرینمهلت تعیینشده براي تسلیم پیشنهادها، مطلع سازد. درخواست پس گرفتن پیشنهاد، باید به نشانی مناقصه گزار باشد تسلیمشده و دربرگیرنده عنوان و شماره دعوتنامه، و عبارت "درخواست پس گرفتن پیشنهاد" باشد. درخواستهای پس گرفتن پیشنهاد دریافت شده پس از آخرینمهلت تسلیم پیشنهادها نادیده گرفتهشده و پیشنهاد معتبر تلقی خواهد گردید.
4-3-4-4- اصلاحیه پیشنهاد باید به شمار نسخهها و به ترتیب مشخصشده در ماده 15، تهیهشده و نشانهگذاری گردد، و برحسب مورد، عبارت "پیشنهاد- پاکت الف"، یا "اصلاحیه پیشنهاد- پاکت ب" یا "اصلاحیه پیشنهاد- پاکت ج"، روی آنها نوشتهشده و به ترتیب در پاکت مربوط به تضمین شرکت در فرآیند ارجاع کار (مناقصه)، یا پیشنهاد فنی- بازرگانی یا پیشنهاد قیمت گذاشته شوند. این پاکت (ها)، باید در داخل یک پاکت خارجی یا لفاف لاک و مهرشده که علامت "اصلاحیه" دارد، قرار داده شوند.
5-4- گشایش و ارزیابی پیشنهادها
1-5-4-گشایش پیشنهادهاي مناقصه، از سوي مناقصه گزار
1-1-5-4- کمیسیون مناقصه، پیشنهادها، اصلاحیهها و درخواستهای احتمالی پس گرفتن پیشنهادها را در حضور نمایندگان مناقصه گران، که براي شرکت در جلسه گشایش پیشنهادها در ساعت، تاریخ و محل درجشده در کاربرگ مناقصه دعوتشدهاند، باز میکند.
2-1-5-4- پس از تهیه فهرست اسامی پیشنهاددهندگان و شرکتکنندگان در جلسه، ابتدا اگر درخواستی براي پس گرفتن پیشنهاد دریافت نشده باشد، پیشنهادها بازگردیده و نام مناقصه گر خوانده میشوند. پیشنهادهایی که درخواست پس گرفتن آنها طبق مفاد ماده 17 تسلیمشده باشد، بازنگردیده و عیناً به مناقصه گران مربوط بازگردانده خواهند شد. پسازآن پاکتهای پیشنهاد و اصلاحیههاي آنها، از سوي کمیسیون مناقصه، به ترتیب زیر یکی پس از دیگري باز میشوند:
1-2-1-5-4- در جلسه بازگشایی پاکت ابتدا، پاکت "الف" و متعاقب آن در صورت وجود، اصلاحیه آن بازخواهد شد. هرگاه محتوای این پاکت، به ترتیب تعیینشده دربند 4-4-1-1 و شرایط دیگر این دستورالعمل کامل نباشد، پیشنهاد مردود تلقی شده و پاکتهای "ب" و "ج"، عیناً بهصورت ناگشوده به مناقصه گر بازگردانده خواهد شد.
2-2-1-5-4- هرگاه محتوای پاکت "الف"، به شرحی که در بالا بیان شد، کامل باشد، به شرح زیر عمل میگردد:
- در مناقصههای دومرحلهای، پاکت "ب" و اصلاحیه آن، بازخواهد د و پس از ارزیابی شکلی آن (ها) توسط کمیسیون مناقصه، محتوای آن برای بررسی به کمیته فنی و بازرگانی تسلیم میشوند.
درصورتیکه پاکت "ب" کامل و منطبق با شرایط مندرج دربند 15 نباشد، پیشنهاد رد میشوند.
- در مناقصههای یک مرحلهای، پس از بررسی شکلی پاکت "ب" توسط کمیسیون مناقصه، پاکت "ج" و اصلاحیه آن بازخواهد شد.
3-2-1-5-4- در مناقصههای دومرحلهای در پایان جلسه گشایش پاکتهای "الف" و "ب"، زمان و مکان تشکیل جلسه گشایش پاکتهای "ج"، اعلام خواهد شد. این زمان تا سقف مدت اعتبار پیشنهادها قابل تمدید است. پاکتهای "ج"، در یک لفاف لاک و مهرشده، توسط مناقصه گزار نگهداری میشوند.
در جلسه افتتاح پاکتهای "ج"، ابتدا نتیجه بررسی پاکتهای "ب" اعلام خواهد شد و پاکتهای "ج"، پیشنهادهایی را که قبول کمیته فنی و بازرگانی واقع نشده است، عیناً برگشت نموده و پاکتهای "ج" مناقصه گرانی که پیشنهاد فنی- بازرگانی آنان موردقبول قرارگرفته است، گشوده میشوند.
4-2-1-5-4- پس از بازگشایی پاکت "ج"، هرگاه بررسی قیمتها و تجزیه و کنترل مبانی آن لازم باشد، کمیسیون مناقصه میتواند بررسی آن را به کمیته فنی و بازرگانی ارجاع کند. در این صورت، کمیته فنی و بازرگانی ظرف دو هفته نتیجه ارزیابی اولیه را به کمیسیون مناقصه اعلام مینماید.
3-1-5-4- نماینده مجاز هر یک از مناقصه گران میتواند در جلسه گشایش پاکات و جلسه گشایش پاکت مالی حضور یابد. در جلسه مربوط به افتتاح پیشنهادهاي مالی، نمایندگان مجاز مناقصه گرانی شرکت خواهند کرد که نتایج بررسی پاکات "الف" و "ب" موردقبول واقعشده باشد.
4-1-5-4- کمیسیون مناقصه، باید صورتجلسه گشایش پیشنهادها را شامل فهرست اسامی مناقصه گران خریدار اسناد مناقصه، مناقصه گران پیشنهاد داده، مناقصه گران حاضر در جلسه و سایر اطلاعات اعلامشده در جلسهها را تهیه نماید.
5-1-5-4- پیشنهادهایی که در جلسههاي گشایش پیشنهادها، گشوده نشده و خواندهنشدهاند، تحت هیچ شرایطی مورد ارزیابی مجدد قرار نخواهند گرفت.
2-5-4-توضیح پیشنهادها
1-2-5-4- هنگام ارزیابی پیشنهادها، مناقصه گزار ممکن است به تشخیص خود از مناقصه گران درخواست ارائه توضیح در مورد پیشنهادهایشان بنماید. درخواست ارائه توضیحات و پاسخ آن، بهصورت مکتوب بوده و نباید هیچگونه تغییري در قیمت یا اصل پیشنهاد خواسته و یا داده شود. توضیحات یا اطلاعات فراهمشده بهصورت مکتوب، جز جدانشدنی پیشنهاد محسوب میشوند.
3-5-4- بررسی مقدماتی پیشنهادها (ارزیابی شکلی)
1-3-5-4-کمیسیون مناقصه بهمنظور حصول اطمینان از اینکه پیشنهادها کامل هستند، تضمینهای لازم فراهمشده است، مدارك بهصورت مناسب مهر و امضا گردیدهاند و پیشنهادها طبق ضوابط تهیه و تنظیمشدهاند، آنها را بررسی مقدماتی خواهد کرد. کمیسیون مناقصه، این بررسی را در جلسه گشایش پاکتها انجام میدهد.
2-3-5-4- کمیسیون مناقصه، میتواند از بینظمیهای جزیی اجرا نشدن هر یک از تشریفات رسمی در پیشنهاد، که انحرافهای عمدهای را شامل نشود صرفنظر کند، بهشرط اینکه درنتیجه ارزیابی فنی- بازرگانی و مالی طبق مفاد مواد 22 و 23 اثري نگذارد.
3-3-5-4- پیش از ارزیابی هر پیشنهاد مناقصه، مناقصه گزار مشخص میکند که آیا آن پیشنهاد قابلقبول است و با اسناد مناقصه تطبیق دارد یا خیر. پیشنهاد قابلقبول، پیشنهادي است که بدون مغایرت یا انحراف عمده و نیز شرطها و قیدهاي غیرقابلقبول با اسناد مناقصه، تطبیق کند.
مغایرت یا انحراف عمده، شرطها و قیدهاي غیرقابلقبول، آنهایی هستند که:
1- بر گستره، کیفیت و عملکرد کارهای موضوع مناقصه، اثر میگذارند.
2- با حقوق مناقصه گزار یا تعهدهاي مناقصه گر، تعیینشده در اسناد مناقصه سازگار نیستند.
3- انعکاس آنها بهصورت غیرمنصفانه، به وضعیت رقابتی پیشنهاددهندگانی که پیشنهادهاي قابلقبول ارائه میکنند، اثر میگذارد.
4-3-5-4- اگر پیشنهادي قابلقبول نباشد، بعدها نباید با تصحیح موارد ناهماهنگ از سوي مناقصه گر، قابلقبول شناخته شود. تشخیص مناقصه گزار در مورد قابلقبول بودن پیشنهاد، تنها بر اساس محتویات پیشنهاد و بدون مراجعه به مدارك خارج از آن، صورت خواهد گرفت
4-5-4-تبدیل به ارز واحد، نرخ رشد هزینه و درآمد و نرخ تنزیل در محاسبات مالی
1-4-5-4- بهمنظور سهولت در ارزیابی و مقایسه پیشنهادها، تمام قیمتهایی که به ارز خارجی هستند، با نرخ تسعیر فروش براي معاملات مشابه، توسط بانک مرکزي جمهوري اسلامی ایران در بیستوهشت (28) روز قبل از تاریخ ارائه پیشنهاد به ریال تبدیلشده و ملاك مقایسه قرار میگیرد.
2-4-5-4- بهمنظور امکان ارزیابی و مقایسه پیشنهادها، نسبت به همسنگ نمودن پیشنهادات مالی با یک نرخ رشد هزینه و درآمد در طول سالهای آتی اقدام میگردد. براین اساس نرخ رشد هزینه و درآمد{مطابق نشریه شماره 03 شرکت مهندسی آب و فاضلاب کشور (راهنماي تهیه گزارش توجیهی مالی بندهاي 4 و 8 )} مطابق شرایط مندرج در کاربرگ مناقصه در نظر گرفته میشود.
3-4-5-4- بهمنظور امکان تعیین کمترین ارزش حال کل پرداختی به مناقصه گر، نرخ تنزیل در روابط مالی براي همه مناقصه گران مطابق شرایط مندرج در کاربرگ مناقصه در نظر گرفته میشود.
4-4-5-4- بهمنظور امکان ارزیابی و مقایسه پیشنهادها، مقدار آلفا (a) برای کلیه پیشنهادات برابر یک در نظر گرفته میشود.
5-5-4- ارزیابی فنی - بازرگانی (در مناقصههای دومرحلهای(
1-5-5-4- مناقصه گزار، توسط کمیته فنی و بازرگانی، ارزیابی کاملی از پیشنهادهاي قابلقبول بهمنظور تشخیص اینکه پیشنهادها ازنظر فنی طبق نقشهها و مشخصات فنی هستند انجام میدهد. بهمنظور رسیدن به چنین تشخیصی کمیته فنی و بازرگانی، جنبههای مختلف فنی پیشنهادها را بر اساس اطلاعات فراهمشده از سوی مناقصه گران، در مدارک بند 9-5 تا 9-9 و با توجه به معیارهای زیر، موردبررسی و مقایسه قرار خواهد داد:
1-1-5-5-4- کامل بودن و تطبیق کلی پیشنهاد فنی - بازرگانی، با نقشهها و مشخصات فنی
2-1-5-5-4- دستیابی به معیارهاي عملکردي و کار آیی مورد انتظار
3-1-5-5-4- نوع، مقدار و دسترسی درازمدت به لوازمیدکی و خدمات نگهداري
4-1-5-5-4- تکمیل کارهاي موضوع مناقصه، در مدت تکمیل قرارداد
5-1-5-5-4- دیگر عوامل مربوط که در صورت لزوم، در کاربرگ مناقصه فهرست شده است. پیشنهادي که حداقل استانداردهاي کامل بودن، سازگاري و مشروح بودن قابلقبول را برآورد نکند، ناقص تلقی شده و رد خواهد شد.
2-5-5-4- مناقصه گزار، بهمنظور دستیابی به هدفهای پیشگفته و بهتناسب کارهاي موضوع مناقصه، روشی را براي ارزیابی فنی-بازرگانی، ازجمله تعیین معیارها و امتیازهاي مربوط، در کاربرگ هاي مناقصه مشخص میکند همچنین حدنصاب امتیاز پذیرش پیشنهادها را نیز معین مینماید.
3-5-5-4- درصورتیکه ارائه پیشنهاد جایگزین مجاز باشد (طبق بند 4-3-2-10) این دستورالعمل)، پیشنهاد جایگزین برنده اول، بررسی و درصورتیکه پیشنهاد جایگزین ازنظر محاسبات فنی، مالی و سایر مشخصات قابلقبول و بهصرفه و صلاح مناقصه گزار با تشخیص کمیسیون مناقصه باشد، این پیشنهاد پذیرفته میشود.
4-5-5-4- هرگونه ارزیابی فنی - بازرگانی پیشنهادهاي اصلی پیش از گشودن پاکتهای قیمت انجام میشوند.
5-5-5-4- درصورتیکه تنها یک مناقصه گر در مناقصه شرکت نماید و حائز شرایط معقول باشد و قیمت پیشنهادی مناسب تشخیص داده شود، کمیسیون مناقصه میتواند با در نظر گرفتن صرفه و صلاح دولت بهعنوان برنده مناقصه اعلام نماید.
6-5-4- ارزیابی مالی
در مناقصههای یک مرحلهای، پاکتهای "ج" مناقصه گرانی که پاکت "الف" و "ب" آنها ازنظر شکلی مورد تأیید قرارگرفتهاند، بازگشایی میگردد و پاکتهای سایر مناقصه گر آنکه پاکت "الف" و "ب" آنها به تأیید کمیسیون مناقصه نرسیده است عیناً عودت میگردد. پاکتهای "ج" بازگشاییشده جهت بررسی در اختیار کمیته فنی و بازرگانی قرار میگیرد.
در مناقصههای دومرحلهای پاکتهای "ج" مناقصه گرانی که پاکت پیشنهاد فنی "ب" آنها حائز حداقل امتیاز مندرج در کاربرگ مناقصه گردیده، گشوده میگردد و پاکتهای سایر مناقصه گر آنکه حائز این شرایط نگردیدهاند عیناً عودت میگردد. پاکتهای "ج" بازگشاییشده جهت بررسی در اختیار کمیته فنی و بازرگانی قرار میگیرد.
1-6-5-4- پیشنهادهاي مشروط مردود اعلام میگردند.
2-6-5-4- در ابتدا کمیته فنی و بازرگانی، نسبت به محاسبه ارزش حال کل پرداختی به مناقصه گر بر اساس ارقام مندرج در برگ پیشنهاد قیمت مناقصه گران اقدام میکند. ارزش حال کل پرداختی به مناقصه گر طبق شرایط ذکرشده در ماده 21 و رابطه مندرج در پیوست شماره (2) برگ پیشنهاد قیمت براي کلیه مناقصه گران محاسبه میشوند.
3-6-5-4- کمیسیون مناقصه مدل مالی پیشنهادی مناقصه گر دارای کمترین ارزش حال کل پرداختی (NPV) حائز شرایط را، جهت بررسی قیمتها و تجزیه و کنترل مبانی، به کمیته فنی و بازرگانی ارجاع میدهد.
4-6-5-4- این کمیته، هرگونه اشتباه محاسباتی و مجموعیابی را موردبررسی قرار خواهد داد و اشتباهات به شرح زیر اصلاح خواهد شد:
الف- در صورت مغایرت بین حروف و ارقام، مبلغ حروف معتبر خواهد بود.
ب- در صورت وجود مغایرت بین قیمت واحد و قیمت کل که از حاصلضرب قیمت واحد در مقدار بهدستآمده قیمت کل معتبر خواهد بود و قیمت واحد بر آن مبنا اصلاح میگردد.
ج- در صورت وجود مغایرت بین اجزاي قیمت پیشنهادي در بخشهای مختلف پیشنهاد مالی، با نظر کمیسیون مناقصه این ابهامها، تناقضها و عدم همخوانیها اصلاح میگردند. این اصلاحات بر مبناي قیمت پیشنهادي در برگ پیشنهاد قیمت مناقصه گر
میباشد.
د- در صورت انجام اصلاحات جزئی در طرح و یا اختلاف مبانی و مقادیر ذکرشده در جداول پیوست برگ پیشنهاد قیمت، ابتدا با نظر کمیسیون مناقصه این اصلاحات در پیشنهاد مناقصه گر صورت میگیرد، طبق بند "ج" فوق مناقصه گر ملزم به پذیرش این تغییرات و اصلاحات میباشد و در غیر این صورت و در غیر این صورت پیشنهاد وی مخدوش تلقی و مردود اعلام میگردد.
5-6-5-4- همچنین در صورت عدم امکان بررسی اجزاي قیمت و مدل مالی و اختلاف مبلغ مندرج در برگ پیشنهاد قیمت، پیشنهاد مناقصه گر با نظر کمیسیون مناقصه، مخدوش تلقی شده و مردود اعلام میگردد.
6-6-5-4- پس از تأیید صحت مدل مالی و اجزاي قیمت پیشنهادي و یا انجام اصلاحات لازم و قبول این اصلاحات توسط مناقصه گر، مناقصه گر موظف است ظرف مدت حداکثر بیستویک (21) روز کاری نسبت به انجام اصلاحات لازم اعلامشده در مدل مالی اقدام و پیشنهاد اصلاحی را تحویل دستگاه مناقصه گزار نماید. در صورت عدم پذیرش اصلاحات ظرف مدت مقرر فوق، مناقصه گزار مختار است با نفر بعدي مناقصه وارد مذاکره شود.
7-6-5-4- مناقصه گزار در جهت صرفه و صلاح دولت با مناقصه گر جهت کاهش قیمت پیشنهادي وارد مذاکره میشوند و وفق ماده 20 الحاق برخی مواد به قانون تنظیم بخشی از مقررات مالی دولت (2) قیمت نهایی را توافق خواهند نمود.
8-6-5-4- نتیجه بررسی پیشنهادهاي مالی و مذاکرات انجامشده با مناقصه گر مرتبه اول حائز شرایط، برای شرکت مهندسی آب و فاضلاب کشور ارسال و در صورت تأیید بهعنوان پیشنهاد قیمت نهایی، بهعنوان برنده مناقصه اعلام و جهت عقد قرارداد دعوت به عمل میآید.
9-6-5-4- برای اتمام زودتر از موعد "دورهی احداث"، امتیازی داده نخواهد شد، پیشنهادهایی که مدت "دورهی احداث" را، طولانیتر از "دورهی احداث" تعیینشده در اسناد مناقصه ارائه میکنند، رد میگردند.
10-6-5-4- مبلغ مندرج در برگ پیشنهاد مناقصه یا قیمت اصلاحشده طبق شرایط بند قبل، براي مناقصه گر تعهدآور خواهد بود. چنانچه مناقصه گر موارد اصلاحی فوقالذکر جز (ج) بند 4-5-6-4 را نپذیرد، پیشنهاد وی با نظر کمیسیون مناقصه مردود اعلامشده و ضمانتنامه شرکت در مناقصه طبق جز (ب) بند 4-3-5-5-2 ضبط خواهد شد.
11-6-5-4- پیشنهادهاي مشروط مردود اعلام میگردند و کلیه مدارك عیناً به مناقصه گر عودت میگردد. همچنین در صورت عدم امکان بررسی اختلافها بین مبلغ مندرج در برگ پیشنهاد قیمت و اجزاي قیمت و مدل مالی و یا عدم پذیرش اصلاحات انجامشده، پیشنهاد مناقصه گر با نظر کمیسیون مناقصه، مخدوش تلقی شده و رد میگردد.
7-5-4-تماس با مناقصه گزار
1-5-7-5- از زمان گشایش پیشنهادها تا زمان امضاي قرارداد، هرگونه تماس مناقصه گر با مناقصه گزار در مورد موارد مربوط به پیشنهاد، باید بهصورت کتبی انجام شود.
6-4- واگذاري و مبادله قرارداد
1-6-4- معیارهاي واگذاري قرارداد
1-1-6-4- مشروط به ماده26، مناقصه گزار قرارداد را به مناقصه گري که پیشنهاد وي کامل و داراي مناسبترین قیمت بوده و علاوه بر آن، واجد شرایط براي اجراي رضایتبخش قرارداد تشخیص داده باشد، واگذار خواهد کرد.
2-6-4- حق قبول یا رد پیشنهادها
1-2-6-4- مناقصه گزار، حق دارد در چارچوب مفاد این دستورالعمل و قوانین مرتبط، هریک از پیشنهادها را قبول یا رد کرده و یا فرایند مناقصه را لغو نماید و تمام پیشنهادها را در هر زمان، پیش از ابلاغنامه پذیرش رد کند و از این بابت هیچ مسؤولیت و تعهدي را در برابر مناقصه گران، نخواهد داشت.
2-2-6-4- در صورت لغو مناقصه، کارفرما بیدرنگ مناقصه گران را از تصمیم خود، مطلع میسازد.
3-6-4- واگذاري قرارداد
1-3-6-4- پیش از انقضاي مدت اعتبار پیشنهاد، مناقصه گزار، برنده مناقصه را بهصورت کتبی یا الکترونیکی (منظور از الکترونیکی، دورنگار است)، با ارسال نامه پذیرش مطلع خواهد ساخت. مناقصه گر برنده مناقصه، باید وصول این ابلاغیه را به مناقصه گزار اعلام کند.
4-6-4- امضا و مبادله قرارداد
1-4-6-4- مناقصهگزار، پس از ابلاغ نامه پذیرش، «اسناد قرارداد» را (طبق نمونه موجود در اسناد مناقصه) با اعمال توافقهای دو طرف، تهیه و از مناقصه گر برنده مناقصه دعوت میکند تا در مهلت تعیینشده در اسناد مناقصه براي امضا و مبادله آن به نشانی مناقصه گزار مراجعه کند.
2-4-6-4- مناقصه گزار از برنده مناقصه دعوت میکند، تا در مهلت تعیینشده در اسناد مناقصه براي امضا و مبادله آن به نشانی مناقصه گزار مراجعه کند.
5-6-4-تضمین انجام تعهدات دوره پیشبرد
1-5-6-4- مناقصه گر برنده، باید ظرف بیستویک (21) روز کاری از دریافت ابلاغیه واگذاري، تضمین انجام تعهدات دوره پیشبرد را به مبلغ مندرج در کاربرگ مناقصه و طبق شکل تعیینشده در اسناد مناقصه یا هر فرم دیگر که براي مناقصه گزار قابلقبول باشد، تهیه و تحویل وي مینماید.
2-5-6-4- امتناع مناقصه گر برنده مناقصه و یا تأخیر غیرموجه وي در امضاي قرارداد، یا عدم ارائه تضمین انجام تعهدات دوره پیشبرد، به مناقصه گزار حق میدهد که وجوه مربوط به تضمین شرکت در فرآیند ارجاع کار (مناقصه) را ضبط کرده و با برنده دوم، مبادرت به مذاکره جهت مبادله قرارداد نماید. در صورت امتناع برنده دوم، تضمین وي نیز ضبطشده و مناقصه تجدید خواهد شد.
3-5-6-4- در صورت تجدید مناقصه، مناقصه گزار بیدرنگ مناقصه گران را از این امر، مطلع میسازد.
6-6-4- فساد و تبانی، مصالحه به زیان دولت
1-6-6-4- هرگاه در جریان مناقصه، اطلاع حاصل شود که مناقصه گرانی به زیان مناقصه گزار یا مناقع جمهوری اسلامی ایران، مصالحه کردهاند و مراتب به مناقصه گزار گزارش شود و درصورتیکه به تشخیص مناقصه گزار این امر صورت گرفته باشد، مناقصه لغو خواهد شد و مناقصه گزار گزارش امر را با درج نام پیشنهاددهندگانی که در این جریان شرکت داشتهاند، براي اقدام قانونی به مراجع ذیصلاح و سازمان برنامهوبودجه کشور ارسال خواهد کرد.
7-6-4- رسیدگی به شکایتها
1-7-6-4- هرگاه هر یک از مناقصه گران نسبت به اجرا نشدن قوانین و آییننامههای مرتبط، در فرایند برگزاري مناقصه اعتراض داشته باشد، میتواند در چارچوب قوانین و آییننامههای یادشده، شکایت خود را مطرح کند
7-4-کاربرگ دادههاي مناقصه
اطلاعات کاربرگ مناقصه در توضیح و تکمیل موادي از دستورالعمل شرکت در مناقصه، که به کاربرگ مناقصه موکول شده است، یا اضافه نمودن موادي به آن میباشد. شماره بندهاي درجشده در این کاربرگ مناقصه، همان شماره بندهاي مربوط در دستورالعمل شرکت در مناقصه میباشد. در صورت وجود تناقض، مفاد کاربرگ مناقصه بر مفاد دستورالعمل
شرکت در مناقصه اولویت دارد.






8-4- تضمین شرکت در فرآیند ارجاع کار ) مناقصه(
"تضمین شرکت در فرآیند ارجاع کار (مناقصه)" از سوی یکی از بانکهای تأسیسشده و دایر در جمهوری اسلامی ایران صادر خواهد شد.
{مطابق فرمت موردقبول بانک موردنظر{
یا:
بسمهتعالی
نظر به اینکه نام سرمایهگذار/ مشارکت با شناسه حقیقی/ حقوقی ................... به نشانی .......................................
و کد پستی ...................... مایل است در مناقصه موضوع قرارداد شرکت نماید.
نام ضامن از نام سرمایهگذار/ مشارکت در مقابل نام سرمایه پذیر برابر مبلغ ......................... ریال/ ارز تضمین تعهد مینماید. چنانچه نام سرمایه پذیر به نام ضامن اطلاع دهد که پیشنهاد شرکتکننده نامبرده موردقبول واقعشده و موضوع ارجاع کار در پایگاه اطلاعرسانی مناقصات/ معاملات درجشده و مشارالیه از امضاي قرارداد مربوطه یا تسلیم تضمین پیشبرد استنکاف نموده است، تا میزان ................ ریال / ارز هر مبلغی را که نام سرمایه پذیر مطالبه نماید، بهمحض دریافت اولین تقاضاي کتبی واصله از سوي نام سرمایه پذیر بدون اینکه احتیاجی به اثبات استنکاف یا اقامه دلیل یا صدور اظهارنامه یا اقدامی از مجاري قانونی یا قضایی داشته باشد، در وجه یا حوالهکرد نام سرمایه پذیر بپردازد.
مدت اعتبار این تضمین شش ماه است و تا آخر ساعت اداري روز شش ماه تا آخرین تاریخ تحویل پیشنهاد معتبر میباشد.
این مدت بنا به درخواست کتبی نام سرمایه پذیر براي مدت شش (6) ماه دیگر قابل تمدید است و درصورتیکه نام ضامن نتواند یا نخواهد مدت این تضمین را تمدید کند و یا نام سرمایهگذار/ مشارکت موجب این تمدید را فراهم نسازد و نام ضامن را موفق به تمدید ننماید. نام ضامن متعهد است بدون اینکه احتیاجی به مطالبه مجدد باشد، مبلغ درجشده در این تضمین را در وجه یا حو اله کرد نام سرمایه پذیر پرداخت کند.
چنانچه مبلغ این تضمین در مدت مقرر از سوي نام سرمایه پذیر مطالبه نشود، تضمین در سررسید خودبهخود باطل و از درجه اعتبار ساقط است، اعم از اینکه مسترد گردد یا مسترد نگردد.
باشد با اعلام در اسناد ارجاع کار و آگهی در " سرمایه پذیر " درصورتیکه مدت تضمین بیش از شش ماه مدنظر روزنامه پرتیراژ میسر خواهد بود. در صورت ضبط تضمین موضوع به اطلاع سازمان برنامهوبودجه کشور برسد.
9-4- فرم مشخصات و سوابق مناقصه گر
این مناقصه گر با امضاي جدول ذیل، علاوه بر ارائه اطلاعات مربوطه، صحت کلیه اطلاعات ارائهشده در این بخش را نیز تأیید
میکند. ضمناً مناقصه گر متعهد میشوند در صورت عدم صحت جزیی یا کلی اطلاعات ارائهشده، کلیه
زیآنهاي وارده
به دستگاه اجرایی را که این دستگاه راسا تعیین میکند بدون نیاز به اثبات در محکمه، جبران نماید.
نام شرکت یا موسسه:
شماره ثبت: تاریخ ثبت: / / محل ثبت:
رشته و پایه مندرج در گواهینامه صلاحیت پیمانکاري:
شماره تشخیص صلاحیت: آخرین تاریخ اخذ صلاحیت: / /
محل اخذ صلاحیت:
شماره اقتصادي مندرج در گواهی ثبتنام مودیان مالیاتی:
شناسه ملی:
امضاهاي مجاز تعهدآور به شرح جدول ذیل میباشد:

10-4- فرم اظهارنامه عدم محرومیت از شرکت در مناقصات
پیرو فراخوان شرکت ........................ در خصوص پروژه تأمین مالی ................ پروژه ..................................... به روش ............. اینجانب/ اینجانبان .............................. صاحبان امضاي مجاز و تعهدآور شرکت ............................ تأیید مینماییم که این شرکت در حال حاضر سابقه هیچگونه محرومیت از شرکت در مناقصه را نداشته هرگاه خلاف این موضوع اثبات شود. پس از گزارش دستگاه اجرایی، سازمان برنامهوبودجه کشور، میتواند این شرکت را جریمه و از شرکت در مناقصه محروم نماید.
با امضا این فرم حق هرگونه اعتراض را از خود سلب مینماید.
نام و نام خانوادگی پیشنهاددهنده:
مهر و امضاي تعهدآور پیشنهاددهنده:
تاریخ:
11-4- فرم تعهدنامه پیشنهاددهنده در مورد عدم شمول قانون منع مداخله کارمندان در معاملات دولتی مورخ 1377/10/22
مربوط به مناقصه: تأمین مالی،......... پروژه ................ به روش ......
این پیشنهاددهنده با امضاي ذیل این ورقه، بدینوسیله تأیید مینماید که مشمول ممنوعیت مذکور در قانون منع مداخله کارمندان دولت در معاملات دولتی مصوب دیماه 1337 نمیباشد و چنانچه خلاف این موضوع به اثبات برسد، مناقصه گزار حق دارد که پیشنهاد ارائهشده براي مناقصه فوق را مردود و تضمین شرکت در فرایند ارجاع کار (مناقصه) را ضبط نماید.
همچنین قبول و تأیید میگردد که هرگاه این پیشنهاددهنده، برنده مناقصه فوق تشخیص داده شود و بهعنوان سرمایهگذار
" قرارداد "مربوط را
امضا نماید و خلاف اظهارات فوق در خلال مدت "قرارداد" (در "دوره
مجاز") به اثبات برسد یا چنانچه افرادی را که مشمول ممنوعیت مذکور در قانون
فوق هستند در این "قرارداد" سهیم و ذینفع نمیاد و یا قسمتی از کار را
به آنها محول کند، سرمایه پذیر حق خواهد داشت که قرارداد را فسخ و تضمین انجم
تعهدات سرمایهگذار را ضبط و خسارت وارده در اثر فسخ "قرارداد" و تأخیر
اجرای کار را از اموال او اخذ نمیاد. تعیین میزان خسارت وارده با تشخیص سرمایه
پذیر میباشد.
این پیشنهاددهنده متعهد میشوند چنانچه در حین اجرای "قرارداد" به دلیل تغییرات و یا انتصابات در دستگاه دولت مشمول قانون مزبور را بلافاصله به اطلاع سرمایه پذیر برساند تا طبق مقررات به "قرارداد" خاتمه داده شود. بدیهی است چنانچه این پیشنهاددهنده مراتب فوق را بلافاصله به اطلع نرساند نهتنها سرمایه پذیر حق دارد "قرارداد" را فسخ نموده و تضمینهای مربوط را ضبط نمیاد بلکه خسارات ناشی از فسخ "قرارداد" و یا تأخیر در اجرای کار را نیز بنا به تشخیص خود از اموال این پیشنهاددهنده وصول خواهد نمود.
مضافا این پیشنهاددهنده اعلام میدارد که بر مجازاتهای مرتبت بر متخلفین از قانون فوق آگاهی کامل دارد و در صورت تخلف مستحق مجازاتهای مربوطه میباشد.
نام پیشنهاددهنده:
تاریخ: ....../ ......./ .......
نام و نام خانوادگی و امضاي مجاز تعهدآور و مهر پیشنهاددهنده:
12-4- "برگ پیشنهاد قیمت"
امضاکننده زیر پس از بررسی و آگاهی کامل و پذیرش تعهد اجرا و مسؤولیت در مورد مطالب و مندرجات دعوتنامه شرکت در مناقصه، دستورالعمل شرکت در مناقصه، موافقتنامه، شرایط عمومی و خصوصی، مشخصات فنی و نقشههاي کلی طرح، تعهدنامه اجرا و قبول مقررات و اسناد و مدارك مناقصه و قرارداد، تعهدنامه عدم شمول قانون منع مداخله کارکنان در معاملات دولتی و بهطورکلی تمامی مدارك، اسناد مناقصه تأمین مالی، ..................................................................................... به روش ............... با ظرفیت متوسط ............... مترمکعب در شبانهروز/ لیتر در ثانیه با "دوره مجاز" .................. سال پش از بازدید از محل و بااطلاع کامل از جمیع شرایط و عوامل موجود و اطمینان از نبود اشکال یا اشتباه در مدارک ارائهشده ازلحاظ کارهای موضوع مناقصه پیشنهاد مینمایم که:
فعالیتهای موضوع مناقصه را بر اساس شرایط، مشخصات و مندرجات در اسناد و مدارك مناقصه انجام و پروژه را مطابق خواسته "خریدار/ سرمایه پذیر" به ازای هر مترمکعب (برمینای سال عقد "قرارداد") (به عدد)، ...................... ریال بر اساس مدل مالی ثانویه به شرح جدول زیر بفروشم

نکته در قراردادهای BOO تمامی قیمت بهصورت تعدیلپذیر میباشد.
ضریب α
در فرمول محاسبه ضریب AF در بهای بخش تعدیلپذیر آب/ پساب محصول معادل ....... میباشد.
همچنین تأیید و تعهد مینمایم که:
قیمت ذکرشده در بالا با احتساب کلیه هزینهها، عوارض، مالیاتها و سود قانونی سرمایهگذاری بوده و ادعاي هیچگونه پرداخت اضافی دیگري را نخواهم داشت.
پیشنهاد قیمت ارائهشده از کلیه جهت نهایی بوده و مشروط نیست.
در صورت مغایرت ارقام ذکرشده به عدد یا حروف، کمترین مقدار ملاك عمل قرار خواهد گرفت.
پیشنهاد قیمت ارائهشده کامل و صحیح بوده و مسؤولیت هرگونه خطا در آن را میپذیرم.
کلیه "قوانین و مقررات" و ضوابط جمهوری اسلامی ایران در این پیشنهاد رعایت شده است.
بهای بخش تعدیلپذیر فوقالذکر مطابق ضوابط مندرج در اسناد مناقصه با اعمال ضریب "سالانه" AF در طول مدت "قرارداد" تعدیل میگردد.
چنانچه این پیشنهاد موردقبول قرار گیرد و بهعنوان برنده مناقصه انتخاب شوم تعهد مینمایم که:
الف- اسناد و مدارک "قرارداد" را بر اساس مراتب مندرج در اسناد و مدارک مناقصه امضا نموده و همراه تضمین پیشبرد حداکثر ظرف مدت بیستویک (21) "روز کاری" از تاریخ ابلاغ بهعنوان برنده مناقصه تسلیم نمایم.
ب- ظرف مدت مقرر در "قرارداد"، فعالیتهای لازم در "دورهی پیشبرد" را تا تاریخ "تاریخ قطعیت" "قرارداد" انجام دهم و پسازآن عملیات اجرایی را در مدت "دوره احداث" به پایان برسانم.
1- تأیید مینمایم که کلیه ضمایم اسناد و مدارك مناقصه جزو جداییناپذیر این پیشنهاد محسوب میشوند.
2- تأیید مینمایم که کلیه ضمایم اسناد و شرایط محیطی و اقلیمی "پروژه" را در طرح نهایی تأسیسات ملحوظ نموده و تأیید وی را بر آن اخذ نمایم
3- مدت اعتبار این پیشنهاد قیمت سیصد و شصتوپنج (365) "روز" میباشد
4- اطلاع کامل دارم که دستگاه مناقصه گزار الزامی براي واگذاري کار به هر یک از پیشنهادها ندارد.
5- تحت عنوان تضمین شرکت در فرآیند ارجاع کار (مناقصه) و بهمنظور تعهد به امضا و مبادله "قرارداد" و تسلیم تضمین انجام تعهدات دوره پیشبرد، تضمین مندرج در دعوتنامه را به نفع "خریدار/ سرمایه پذیر" در پاکت "الف" تقدیم داشتهام.
عنوان پیشنهاددهنده:
تاریخ: / /
نام، نام خانوادگی، سمت و امضا مجاز تعهدآور و مهر پیشنهاددهنده:
پیوست1 - مدل مالیوست 1 - مدل مالی
در این بخش سعی بر آن است که اطلاعاتپایه و شرح فرآیند بهکاررفته در "مدل مالی" بهدقت تشریح گردد.
هدف از ارائه این بخش ایجاد درک بهتر و همسانسازی فرآیندهای مورداستفاده مناقصه گران در تهیه و ارائه "مدل مالی" است. بدین منظور اطلاعات "مدل مالی" به سه بخش اطلاعاتپایه، اطلاعات ورودی و اطلاعات خروجی مدل تفکیکشده که در ادامه جداول مربوط و شرح هریک و جایگاه آن در تحلیلها ارائهشده است.
جهت ایجاد همگرایی در پیشنهادها و سهولت بررسی و انتخاب برنده مناقصه اطلاعات مدل به دودسته الزامی و تقسیمشدهاند. اطلاعات الزامی بهصورت پیشفرض ثابت در جداول ارائهشده است و مناقصه گر " مناقصه گر " پیشنهادي پیشنهاد میشوند ولی مناقصه گر میتواند از " مدل مالی " ملزم به استفاده از آنها در مدل میباشد. اطلاعات اختیاري در آنها استفاده نموده و یا تغییر دهد. اطلاعات پیشنهادي صرفاً از سوي مناقصه گر پیشنهاد میشوند که در جداول فضاي خالی براي آنها در نظر گرفتهشده است.
مناقصه گر در مرحله ارائه پیشنهاد ملزم به تکمیل جداول و ارائه مبانی و مفروضات بهکاررفته در محاسبات است.






پیوست 2
برآورد ارزش حال کل پرداختی به مناقصه گروست 2 - ب رآورد ارزش حال کل
برآورد ارزش حال پرداختی به هر مناقصه گر بر اساس جدول زیر انجام میشوند. علائم مورداستفاده در جدول به شرح جدول زیر است:
T =مجموع دوره انعقاد قرارداد تا پایان دوره احداث (شامل دوره پیشبرد و احداث) و دوره بهر ه برداري تجاري برحسب سال
Qt: حجم خرید تضمینی محصول برحسب میلیون مترمکعب در سال t ام
1:P قیمت تعدیل ناپذیر به ریال بر مترمکعب ) زمان ارائه پیشنهاد قیمت)
2P: قیمت تعدیلپذیر به ریال بر مترمکعب
P02: قیمت تعدیلپذیر به ریال بر مترمکعب در زمان ارائه پیشنهاد قیمت
i: برآورد متوسط نرخ رشد سالانه قیمت تعدیلپذیر که در کاربرگ دادههاي مناقصه اعلام میشوند
r: نرخ تنزیل سالانه از دیدگاه دستگاه مناقصه گزار که در کاربرگ دادههاي مناقصه اعلام میشوند.
t: دوره زمانی برحسب سال از انعقاد قرارداد تا پایان دوره بهرهبرداری تجاري
C: ارزش حال کل پرداختی به هر مناقصه گر برحسب میلیون ریال

جدول زیر اجزاي اصلی را در محاسبه ارزش حال پرداختی به هر مناقصه گر را نشان میدهد.

توضیح مهم 1:
لازم به ذکر است "بهای آب/ پساب تحویلی" در سال پایه در برگ پیشنهاد قیمت به تفکیک بهای تعدیل ناپذیر و بهای تعدیلپذیر درج شود. نرخ بازده داخلی آورده مناقصه گر و کل پروژه از "مدل مالی" باقیمتهای جاری به دست میآید.
مناقصه گر موظف است جزییات محاسبات انجامشده را براي بهاي فروش خدمات را در قالب فایل "مدل مالی" محاسباتی با ویژگیهای زیر ارائه نماید:
- بخشهای دادههای ورودی، محاسبات و خروجیهای "مدل مالی" مشخص، مجزا و بر اساس قالب ارائهشده در اسناد تنظیمشده باشد.
– روابط محاسباتی بین دادهها و نتایج برقرار باشد.
– شیوه انجام محاسبات توسط بررسیکننده قابلبررسی و کنترل باشد.
- دادههای ورودی و نتایج خروجی "مدل مالی" منطبق با مستندات فیزیکی ارائهشده در برگ پیشنهاد قیمت و پیوستهای آن باشد.
توضیح مهم 2:
مناقصه گر موظف است یک "مدل مالی" بدوندر نظر گرفتن هزینههای جاری دورهی بهرهبرداری تجاری، تحت عنوان "مدل مالی ثانویه" ارائه دهد
توضیح مهم 3:
نحوه تهیه مدل مالی در فصل سوم تشریح گردیده است. مناقصه گران باید بر اساس آن، نسبت به ارائه مدال مالی و مدل مالی ثانویه اقدام نمایند.
7
پیوست 3
علائم اختصاري
علائم اختصاري
BDS کاربرگ دادههاي مناقصه
EDI تبادل الکترونیکی دادهها
GCC شرایط عمومی قرارداد
IFB دعوتنامه شرکت در مناقصه
ITB دستورالعمل به پیشنهاددهندگان مناقصه
SCC شرایط خصوصی قرارداد
TS مشخصات فنی و نقشهها
CIF قیمت کالا، هزینه بیمه و کرایه حمل تا بندر مقصد
CIP پرداخت کرایه حمل و بیمه پرداختشده کالا (تا محل مقصد تعیینشده(
DDP تحویل کالا در محل مقرر در مقصد با ترخیص و با پرداخت حقوق و عوارض گمرکی (تا محل مقصد تعیینشده(
EXW تحویل در کارخانه، در محل کار یا انبار
FCA تحویل کالا در محل مقرر به حملکننده
FOB تحویل روي عرشه
CPT پرداخت کرایه حمل کالا تا مقصد
DAF تحویل کالا در مرز
DES تحویل کالا روي عرشه کشتی دربندر مقصد
DDU تحویل کالا در محل مقرر در مقصد بدون ترخیص و بدون پرداخت حقوق و عوارض گمرکی
DEQ تحویل کالا روي اسکله دربندر مقصد
خواننده گرامی
امور نظام فنی و اجرایی سازمان برنامهوبودجه کشور، باگذشت بیش از چهل سال فعالیت تحقیقاتی و مطالعاتی خود، افزون بر هفتصد عنوان نشریه تخصصی - فنی، در قالب آییننامه، ضابطه، معیار، دستورالعمل، مشخصات فنی عمومی و مقاله، بهصورت تألیف و ترجمه، تهیه و ابلاغ کرده است. نشریه حاضر در راستاي موارد یادشده تهیهشده، تا در راه نیل به توسعه و گسترش علوم در کشور و بهبود فعالیتهای عمرانی بهکاربرده شود.
فهرست نشریات منتشرشده در سالهای اخیر در سایت اینترنتی nezamfanni.ir قابلدستیابی میباشد.
Abstract
The present paper seeks to create a unified practice focused on the transparency and uniformity of the processes involved in prioritizing projects, making referrals, and the award and exchange of contracts with investors. The paper's target communities are the investors, consultants, and the subsidiary executive organs of the Ministry of Energy. Ministry of Energy and the Water and Wastewater Engineering Company of the country are pioneers in attracting the required funds for water and wastewater projects through contracting with nongovernmental sector. Among the methods of private partnership that are used in this section are building, operation, transfer (BOT), building, ownership, operation (BOO), rehabilitation, operation, transfer (ROT), and buyback modalities
Islamic Republic of Iran
Plan and Budget Organization
Technical and Financial Report
Preparation Guideline
Works Referral in Partnership Projects
Water and Sewerage Sector
No. 763
Deputy of Technical, Infrastructure and Ministry of Energy
Production Affairs
Department of Technical and Executive Water and Wastewater Standards and Projects
Affairs Bureau
nezamfanni.ir http://seso.moe.org.ir
2018
اين نشريه
بهمنظور ايجاد وحدت رویه در فرآيند ارجاع كار در قراردادهاي سرمایهگذاری با مشاركت بخش غيردولتي تهیهشده است و با توجه به تجربیات موفق کسبشده در پروژههای BOO،BOT،ROT و بيع متقابل، راهنماي تهيه گزارشهای فني و مالی و نحوه ارجاع كار در پروژههای مشاركتي در بخش آب و فاضلاب را دستور كار قرار داده است.
[1] منظور سال تهیه این گزارش میباشد.
[2] در پروژههای آب شیرین کن کل قیمت به صورت تعدیلپذیر لحاظ میگردد.
[3] منظور، مفروضات و اطلاعات موردنیاز برای تهیه این گزارش میباشد.
[5] منظور، فعالیتهایی است که قرار است در قالب این گزارش و در طول دوره قرارداد واگذار گردد.
[6] حداقل استاندارد پساب خروجی، تخلیه به آبهای سطحی میباشد.
[7] به طور مثال امکان تولید برق با نصب فشار شکنهای نرم بر روی خطوط انتقال آب
[8] Consumer Price Index